当前位置:网站首页>轻松读懂三极管,原来它是这样工作的
轻松读懂三极管,原来它是这样工作的
2022-07-24 10:48:00 【成都亿佰特电子科技有限公司】
一:三极管的介绍
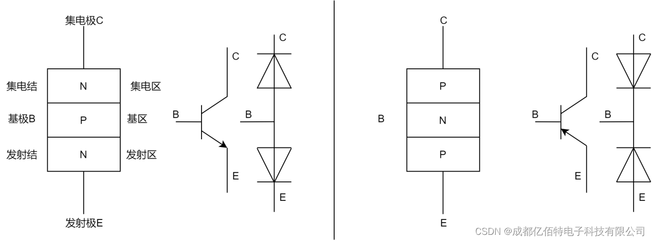
三极管,也就是半导体三极管,是一种控制电流的半导体器件,其作用就是吧微弱信号放大成幅度值较大的电信号,也用作于无触点开关。通常,三极管具有电流放大的作用,它的结构是在一块半导体基片上制作两个相距很近的PN结,两个PN结把整块半导体分成三部分,中间是基区,两测部分是发射区和集电去,通常按照两侧排列方式有PNP和NPN两种。

三极管的两个PN结,类似于两个共阴或共阳的二极管
二:三极管的三种工作状态
截止状态:三极管发射结的电压小于PN结的导通电压,基极电流为零,集电极电流和发射极电流都为零,三极管这时失去了电流放大作用,集电极和发射极之间相当于开关的断开状态,我们称三极管处于截止状态。
放大状态:当加在三极管发射结的电压大于PN结的导通电压,三极管的发射结正向偏置,集电结反向偏置,这时基极电流对集电极电流起着控制作用,使三极管具有电流放大作用。
饱和导通状态:当加在三极管发射结的电压大于PN结的导通电压,并当基极电流增大到定程度时,集电极电流不再随着基极电流的增大而增大,而是处于某-定值附近不怎么变化,这时三极管失去电流放大作用,集电极与发射极之间的电压很小,集电极和发射极之间相当于开关的导通状态。三极管的这种状态我们称之为饱和导通状态。
三:三极管的作用
·对微弱的信号进行放大:基极输入一个很小的信号就会引|起集电极很大的电流变化,这是电子电路中一个最重要也是最核心的部分。
·用作无触点开关:利用三极管的截止和导通特性来控制或驱动负载;比如由三极管组成的门电路、开关电源等。
四:三极管的种类
三极管的种类有很多,根据不同类别可以有:
①半导体材料来分:有硅管和锗管;
②按照工作频率来分:有低频管和高频管;
③按照功率来分:有小功率管,中功率管和大功率管;
④按照功能来分:分为开关管,功率管,达林顿管,光敏管等。
我们平时常见的NPN型主E极管有: 8050、 9013、 9014、 9018、 C1815、 D882、TIP41、 3DD15、 2N3055、 2N3773等;
常见的PNP型三极管有: 8550、9012、 9015、 B772、 TIP42、 2N5884等。
其中,像8050、8550、 9013、 9012等这种TO-92封装的E极管属于小功率三=极管:

D882、B772、TIP41、TIP42等属于中功率三极管:

3DD15、2N3055、2N3773、2N5884等这种金封铁帽的三极管属于大功率三极管:

以上都是直插型的三极管,现在常见的还有这种SOT-23封装的贴片三极管:

四:三极管的重要参数
1、β值:
β值是三极管最重要的参数,因为值描述的是三极管对电流信号放大能力的大小。β值越高,对小信号的放大能力越强,反之亦然;但值不能做得很大,因为太大,三极管的性能不太稳定,通常值应该选择30至80为宜。-般来说,三极管的值不是一个特定的值,它一般伴随着元件的工作状态而小幅度地改变。
2、极间反向电流:
极间反向电流越小,三极管的稳定性越高。
3、三极管反向击穿特性:
三极管是由两个PN结组成的,如果反向电压超过额定数值,就会像二 _极管 那样被击穿,使性能下降或永久损坏。
4、工作频率:
三极管的值只是在一定的工作频率范围内才保持不变,如果超过频率范围,它们就会随着频率的升高而急剧下降。
边栏推荐
- MySQL - delete data in database tables
- 新式拥塞控制漫谈
- MySQL - multi column index
- UVM——双向通信
- MySQL - full text index
- Machine learning quiz (10) using QT and tensorflow to create cnn/fnn test environment
- PC Museum (2) 1972 hp-9830a
- Zero basis learning canoe panel (5) -- change the value of the variable, and the control image also changes. What's going on?
- ECCV 2022 | 清华提出首个嵌入光谱稀疏性的Transformer
- Adobe substance 3D Designer 2021 software installation package download and installation tutorial
猜你喜欢

Adobe substance 3D Designer 2021 software installation package download and installation tutorial

Machine learning quiz (10) using QT and tensorflow to create cnn/fnn test environment

MySQL - hiding and deleting indexes

数据可视化-《白蛇2:青蛇劫起》(1)

简单使用 MySQL 索引

《nlp入门+实战:第二章:pytorch的入门使用 》

MySQL - normal index

火山引擎:开放字节跳动同款AI基建,一套系统解决多重训练任务

read_csv 报错:‘gbk‘ codec can‘t decode byte 0xb4 in position 274: illegal multibyte sequence

Arduino + AD9833 波形发生器
随机推荐
Array element removal problem
Detailed explanation of Flink operation architecture
Filter the data with signal processing toolbox software
用 Signal Processing Toolbox 软件对数据进行滤波
Scope usage in POM file dependency
Hongmeng's first note
[FPGA]: IP core - multiplier
MySQL - 索引的隐藏和删除
QT create application tray and related functions
PC Museum (2) 1972 hp-9830a
When to use obj['attribute name'] for the attribute name of an object
[FPGA]: IP core --divider (divider)
Sentinel 三种流控效果
Binlog and iptables prevent nmap scanning, xtrabackup full + incremental backup, and the relationship between redlog and binlog
Distributed transaction processing scheme big PK!
[FPGA]: frequency measurement
MySQL - 唯一索引
NLP introduction + practice: Chapter 2: introduction to pytorch
Zero basis learning canoe panel (5) -- change the value of the variable, and the control image also changes. What's going on?
DSP CCS software simulation