当前位置:网站首页>Signal integrity (SI) power integrity (PI) learning notes (XXV) differential pair and differential impedance (V)
Signal integrity (SI) power integrity (PI) learning notes (XXV) differential pair and differential impedance (V)
2022-06-24 23:57:00 【Xiaoyou doesn't add sugar for the rest of his life】
Differential pair and differential impedance ( 5、 ... and )
1.(1) Minimize asymmetry between differential pairs and misalignment between drives , Thus, the conversion from differential signal to common mode signal is minimized ;
(2) Use shielded twisted pair , Use the shielding layer as the impedance of the common mode current path ;
(3) The impedance of common mode current path is increased by adding common mode choke .
There are two types of common touch chokes
① A cylinder of ferritic material surrounds the outside of the cable ;
② The second type of common mode signal choke is mainly used in twisted pair cable . The twisted pair is usually wound into a coil , Sometimes a ferrite core is inserted .
Choke is an effective element to reduce radiation .

2. If a single ended transmission line is placed close to a differential pair , Then, due to the coupling with the dynamic single ended line , The signal voltage appears on both lines of the differential pair , The polarity of the coupling noise on each line in the differential pair is the same , But the range is different .
Differential alignment , There will be more noise in the line close to the dynamic line , The deeper the coupling of difference pairs , The noise generated on the two lines tends to be more and more equal , The smaller the difference noise .

measures : Make the attack line far away from the differential line pair , And make the difference pair tightly coupled .
Two coupling levels :
① The line spacing in tight coupling is equal to the line width , The line spacing of weak coupling is equal to the line width 2 times , In this difference , The line farther from the attack line has less noise , Differential noise is the difference between the noise levels of two lines .
② The common mode noise of the victim differential pair is the average value of the noise voltage on the two lines , When the coupling degree of the difference pair changes , Common mode noise will not be greatly affected . Tight coupling can reduce the difference noise , But it will increase the common touch noise . Crosstalk is a typical way to generate common mode noise in differential pairs .
The single ended attack line will cause differential noise in the differential pair , The above analysis reveals a general rule for reducing differential noise , Make the coupling in the differential pair as close as possible . Of course, in order to minimize the coupling noise , It is also necessary to make the distance between the attack line and the victim differential pair as far as possible , Tight coupling does not eliminate crosstalk , But in some cases, it will be reduced .


3. The differential noise coupled from another differential pair is slightly less than that coupled from a single end routing . The degree of coupling between two lines in a differential alignment , Especially the stripline , There is little effect on differential crosstalk introduced from other routes . Only when the adjacent return plane does not exist , for example , In a connector or package pin , Tight coupling can play a strong role in reducing crosstalk .

4. The gap in the return path is usually used to isolate an area on the circuit board . When the return reference layer of the signal is selected as the power plane and the power plane is divided , There will also be gaps . If a single ended signal encounters a wide gap , Then it will feel a disruptive mutation . This is a big inductive mutation .
5. In order to enable the transmitted signal to cross the gap in the return path and maintain acceptable performance , One alternative is to use differential pairs . The use of tightly coupled differential pairs is a way to transmit broadband signals in regions with very poor return planes .
When a single ended signal passes through the gap in the return path, it will produce a ground bounce , Because its return current will see the common inductance of the gap . However , The return current of the differential signal will overlap in the common inductance , And most of it will be offset . Since there is little net return current across the gap , The ground bomb of differential signal will be much smaller than that of single ended signal .


6.(1) The biggest advantage of using close coupled difference pairs is that the interconnection density is higher when close coupled . This means using fewer layers or possibly smaller boards , Both help reduce costs ;
(2) Usually , Above 10Gbps And loss is regarded as an important performance index , Weakly coupled differential pairs should be preferred , It makes the line the widest , The loss is the lowest .
The biggest advantage of using weak coupling is that you can use a larger linewidth , When cost is the main reason , Tight coupled difference pairs can be used , When loss becomes the main cause , Weakly coupled differential pairs should be used .
7. The equivalent circuit model of the transmission line of two coupled lines , use SPICE Capacitance matrix , The inductance element is defined by four inductance matrix .

(1) When the differential pair is driven in odd mode , The impedance of a single line is the singular impedance . At this time, the equivalent capacitance of a single line is :

In the odd mode state , The current flows into the signal line 1, And then flow out of the return path . meanwhile , Current slave 2 Flow out , In the inflow return path . When the pair is driven in odd mode , Line 1 The equivalent loop inductance of is :

From the line pair 1 Look in at the beginning , With the increase of coupling between lines , You can see that the capacitance will get bigger , The loop inductance will decrease , From these two quantities, the singular mode characteristic impedance and time delay can be calculated :

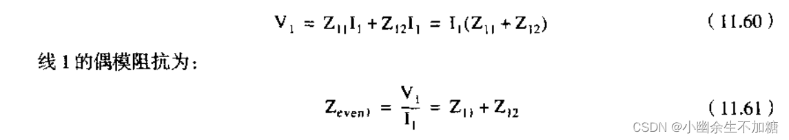
(2) When the pair drives the even mode state , Driving voltage and routing of adjacent lines 1 In the same . Due to the shielding effect of this adjacent line at the same potential , Line 1 The capacitance between the signal path and the return path will decrease. At this time, the equivalent capacitance per unit length is :
In the even mode state , The current flows into the signal line 1, And then flow out of the return path , meanwhile , The current flows into the signal line 2 And then flow out of the return path , When driven in even mode , Line 1 The equivalent inductance of is :

When the pair is driven in even mode , According to the slave line 1 Unit length capacitance and loop inductance seen at the beginning , Even mode impedance and time delay can be calculated :

8. All field solvers use the above relations based on the elements of capacitance matrix and inductance matrix , Any degree of coupling is thus calculated , The odd mode characteristic impedance of various transmission lines of any laminated structure , Even mode characteristic impedance time delay . In this sense , Capacitance matrix , And inductance matrix elements completely define the electrical characteristics of a pair of coupled transmission lines . As the coupling degree increases , Off diagonal elements will increase accordingly , The odd mode impedance decreases , Even mode impedance increases .
9. Another alternative to describing two or more transmission lines is to use an impedance matrix . The diagonal element of the impedance matrix is the impedance of one line when there is no current flowing into the other line .
The definition of odd mode state is that the current in two lines is equal in size and opposite in direction , Or say I1=-I2 The state of . According to this definition , Voltage is :


The definition of even mode state is that the current in two lines is exactly the same , Or say I1=I2 The state of . According to this definition , Line 1 The voltage in the even mode state of is :
The odd mode impedance of a line is the difference between the diagonal and non diagonal elements of the impedance matrix . The greater the coupling , The larger the non diagonal elements . The smaller the odd mode impedance , Even mode impedance is the diagonal element of the impedance matrix . Sum of and non diagonal elements . The greater the coupling , The larger the off diagonal elements , The greater the even mode impedance .
From a signal point of view , The only important ones are differential impedance and common mode impedance , Available below 3 Describe in equivalent form :
(1) Odd mode impedance and even mode impedance ;
(2) Capacitance matrix and inductance matrix elements ;
(3) Impedance matrix .
边栏推荐
- Using external Libpcap library on ARM platform
- Analysis report on development trend and investment forecast of global and Chinese D-leucine industry from 2022 to 2028
- Daily calculation (vowel case conversion)
- Requests Library
- Andersen global strengthens the Middle East platform with Palestinian member companies
- How to use stm32subeide SWV function
- Volcano becomes spark default batch scheduler
- JPA学习1 - 概述、JPA、JPA核心注解、JPA核心对象
- Ultra vires vulnerability & Logic vulnerability (hot) (VIII)
- Tiktok practice ~ upload and release app video
猜你喜欢

JPA学习2 - 核心注解、注解进行增删改查、List查询结果返回类型、一对多、多对一、多对多

Hello C (III) - pointer

Hello C (V) -- pointer and array

QT cannot be edited with UTF-8

Monotone stack and its application

U.S. House of Representatives: digital dollar will support the U.S. dollar as the global reserve currency

单调栈以及单调栈的应用

Tremblement de terre réel ~ projet associé unicloud

在滴滴和字节跳动干了 5年软件测试,太真实…

Arbitrary file download of file operation vulnerability (7)
随机推荐
JPA学习2 - 核心注解、注解进行增删改查、List查询结果返回类型、一对多、多对一、多对多
节奏快?压力大?VR全景客栈带你体验安逸生活
抖音实战~实现App端视频上传与发布
今天睡眠质量记录79分
Analysis report on development mode and investment direction of sodium lauriminodipropionate in the world and China 2022 ~ 2028
How does VR panorama make money? Based on the objective analysis of the market from two aspects
我的为人处事真的有问题吗?
Classic interview questions and answers for embedded engineers
Hello C (VI) -- pointer and string
First person singular reading notes
7-6 laying oil well pipeline
In the past 5 years, from "Diandian" to the current test development, my success is worth learning from.
Volcano becomes spark default batch scheduler
Stm32f030f4 reading infrared remote control data
Tiktok practice ~ upload and release app video
年薪百万,7年测试经验:守在一个还算不错的赛道,慢慢积累,等风来
Assessment of public finance of Jilin University in March of the 22nd spring -00091
MySQL日志管理
Annual salary of millions, 7 years of testing experience: stay at a fairly good track, accumulate slowly, wait for the wind to come
Hello C (III) - pointer