1. Introduction to naive Bayesian method
Naive Bayes (naive Bayes) Method is a classification method based on Bayesian theorem and the assumption of independence of feature conditions . For a given set of training data , First, we assume that the learning input is independent based on the feature conditions / Joint probability distribution of output \(P(X,Y)\); And then based on this model , For the given input \(x\), Using Bayes theorem to get the output with the maximum posterior probability \(y\). Naive Bayes is easy to implement , The efficiency of learning and forecasting is very high , Is a common method .
2. Relevant statistical knowledge of naive Bayesian method
The idea of Bayesian method can be summarized as a priori probability + input data = Posterior probability . The following is a brief introduction to the simple derivation of the posterior probability formula .
Conditional independent formula , If \(x\) and \(y\) Are independent of each other , Then there are :
Conditional probability formula :
That is to say :
All probability formula :
It is easy to get Bayesian formula from the above formula :
3. Learning and classification of naive Bayes
3.1 Basic model
Set input space \(x \subseteq R^n\), The output space is a collection of class tags \(Y=\{c_1,c_2,···,c_k\}\).\(P(X,Y)\) yes \(X\) and \(Y\) The joint probability distribution of . Training data set
from \(P(X,Y)\) Independent identically distributed .
Naive Bayesian learning \(P(X,Y)\), In particular , Learn about prior probability distribution and conditional probability distribution . A priori probability distribution
Conditional probability distribution
\((1)\times(2)\), Then we can get the joint probability distribution \(P(X,Y=c_k)\).
As can be seen from the formula above \(P(Y=c_k)\) It can be calculated by maximum likelihood estimation , Got \(P(Y=c_k)\) It's the category \(c_k\) How often does it appear in the training set . however \(P(X^{(1)}=x^{(1)},···,X^{(n)}=x^{(n)}| Y=c_k)\) Is a n Conditional distribution of dimensions , It's hard to find , Therefore, naive Bayesian method assumes conditional independence of conditional probability distribution , namely \(X\) Of n The dimensions are independent of each other , In this way, we can get :
It can be seen from the above formula , This hard conditional distribution greatly simplifies , But it can also lead to inaccuracies in predictions . You would say what if my characteristics are not very independent ? If it's really very dependent , Try not to use naive Bayesian model , It's better to consider other classification methods . But in general , The condition that samples are independent of each other is indeed weak , Especially when the data volume is very large . Although we sacrifice accuracy , But the advantage is that the calculation of the conditional distribution of the model is greatly simplified , Naive Bayesian method actually learns the mechanism of generating data , Belongs to the generation model .
Naive Bayesian classification , For the given input x, The learned model is used to calculate the posterior probability distribution \(P(Y=c_k|X=x)\), Take the class with the greatest posterior probability as x Output . The posterior probability is calculated according to Bayesian theorem :
take \((3)\) Substituting \((4)\) Yes
be aware \((5)\) All denominators in are equal to all \(c_k\) It's all the same , So when comparing, just compare the molecules , So naive Bayesian classifier can be expressed as
3.2 Parameter estimation of naive Bayesian method
about \(P(Y=c_k)\), We use maximum likelihood estimation , It's easy to get \(P(Y=c_k)\) For sample category \(c_k\) Frequency of occurrence , I.e. sample category \(c_k\) Number of occurrences \(m_k\) Divide by the total number of samples \(m\).
Set the first \(j\) Features \(X^{(j)}\) The set of possible values is \(\{a_{j1},a_{j2},···,a_{js}\}\), Conditional probability \(P(X^{(j)} = a_{jl}|Y=c_k)\) The maximum likelihood estimate of is
3.3 Learning and classification algorithms
The learning and classification algorithm of naive Bayes is given below .
Algorithm
Input : Training data
among \(x_i = (x_i^{(1)},x_i^{(2)},···,x_i^{(n)})\),\(x_i^{(j)}\) It's No \(i\) Of samples \(j\) Features ;\(x_i^{(j)}\in\{a_{j1},a_{j2},···,a_{js}\}\),\(a_{jl}\) It's No \(j\) The second feature may be \(l\) It's worth ,\(l = 1,2,···,s\),\(y_i\in\{c_1,c_2,···,c_k\}\);
Output : example \(x\) The classification of .
(1) Calculate prior probability and conditional probability , Some of the time , Some categories may not appear in the sample , Will cause the molecule to be 0, This will affect the posterior estimation , To solve this situation , We introduce Laplace smoothing (Laplace Smooth)
In style \(\lambda\geq0\). It is equivalent to giving a positive number to the frequency of each value of a random variable \(\lambda\). When \(\lambda=0\) when , It's maximum likelihood estimation . Constant access \(\lambda = 1\), This is called Laplacian smoothing .
(2) For a given instance \(x=(x^{(1)},x^{(2)},···,x^{(n)})^T\), Calculation
(3) Identify examples \(x\) Class
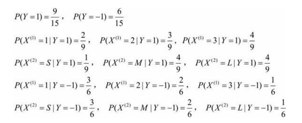
example : Try to learn a naive Bayesian classifier from the training data in the table and determine \(x=(2,S)^T\) Class tags for \(y\). In the table \(X^{(1)}\),\(X^{(2)}\) For the characteristic , The sets of values are \(A_1=\{1,2,3\}\),\(A_2=\{S,M,L\}\),\(Y\) Tag for class ,\(Y\in C=\{1,-1\}\).

Explain : According to the algorithm , There are tables , It is easy to calculate the following probabilities :
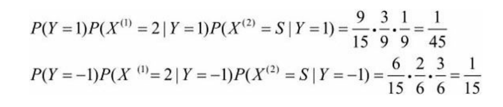
For a given \(x=(2,S)^T\), Calculation :

because \(Y=-1\) The posterior probability of is large , therefore \(y=-1\).
4. Code combat
The data comes from sklearn.datasets Medium load_iris()
import numpy as np
import pandas as pd
import matplotlib.pyplot as plt
from sklearn.datasets import load_iris
from sklearn.model_selection import train_test_split
from collections import Counter
import math
# data
def create_data():
iris = load_iris()
df = pd.DataFrame(iris.data, columns=iris.feature_names)
df['label'] = iris.target
df.columns = ['sepal length', 'sepal width', 'petal length', 'petal width', 'label']
data = np.array(df.iloc[:100, :])
# print(data)
return data[:,:-1], data[:,-1]
X, y = create_data()
X_train, X_test, y_train, y_test = train_test_split(X, y, test_size=0.3)
X_test[0], y_test[0]
(array([5.1, 3.8, 1.9, 0.4]), 0.0)# The input is a 4 Dimension vector , Output a category 0 or 1
4.1GaussianNB Gaussian naive Bayes ( Manual simulation )
The probability of the feature is assumed to be Gaussian
Probability density function :
Mathematical expectation (mean):\(\mu\)
variance :\(\sigma^2=\frac{\sum(X-\mu)^2}{N}\)
class NaiveBayes:
def __init__(self):
self.model = None
# Mathematical expectation
@staticmethod
def mean(X):
return sum(X) / float(len(X))
# Standard deviation ( variance )
def stdev(self, X):
avg = self.mean(X)
return math.sqrt(sum([pow(x - avg, 2) for x in X]) / float(len(X)))
# Probability density function
def gaussian_probability(self, x, mean, stdev):
exponent = math.exp(-(math.pow(x - mean, 2) /
(2 * math.pow(stdev, 2))))
return (1 / (math.sqrt(2 * math.pi) * stdev)) * exponent
# Handle X_train
def summarize(self, train_data):
summaries = [(self.mean(i), self.stdev(i)) for i in zip(*train_data)]
return summaries
# The mathematical expectation and standard deviation can be obtained by classification
def fit(self, X, y):
labels = list(set(y))
data = {label: [] for label in labels}
for f, label in zip(X, y):
data[label].append(f)
self.model = {
label: self.summarize(value)
for label, value in data.items()
}
return 'gaussianNB train done!'
# Calculate the probability
def calculate_probabilities(self, input_data):
# summaries:{0.0: [(5.0, 0.37),(3.42, 0.40)], 1.0: [(5.8, 0.449),(2.7, 0.27)]}
# input_data:[1.1, 2.2]
probabilities = {}
for label, value in self.model.items():
probabilities[label] = 1
for i in range(len(value)):
mean, stdev = value[i]
probabilities[label] *= self.gaussian_probability(
input_data[i], mean, stdev)
return probabilities
# Category
def predict(self, X_test):
# {0.0: 2.9680340789325763e-27, 1.0: 3.5749783019849535e-26}
label = sorted(
self.calculate_probabilities(X_test).items(),
key=lambda x: x[-1])[-1][0]
return label
def score(self, X_test, y_test):
right = 0
for X, y in zip(X_test, y_test):
label = self.predict(X)
if label == y:
right += 1
return right / float(len(X_test))
function :
model = NaiveBayes()
model.fit(X_train, y_train)#'gaussianNB train done!'
print(model.predict([4.4, 3.2, 1.3, 0.2]))#0.0
print(model.score(X_test, y_test))#1.0
4.2scikit-learn example
Naive Bayes is a kind of relatively simple algorithm ,scikit-learn The use of naive Bayes class library is also relatively simple . Relative to decision tree ,KNN Algorithms like that , Naive Bayes need to pay attention to fewer parameters , It's easier to master . stay scikit-learn in , Altogether 3 A naive Bayesian classification algorithm class . Namely GaussianNB,MultinomialNB and BernoulliNB. among GaussianNB Is the naive Bayes with Gaussian distribution a priori ,MultinomialNB Is a naive Bayes with a priori polynomial distribution , and BernoulliNB Is the naive Bayes with Bernoulli distribution a priori .
The classification scenarios applicable to the three categories are different , Generally speaking , If the distribution of sample characteristics is mostly continuous , Use GaussianNB It will be better. . If most of the sample features are multivariate discrete values , Use MultinomialNB More appropriate . And if the sample characteristics are binary discrete values or very sparse multivariate discrete values , You should use BernoulliNB.
4.2.1GaussianNB class
The probability of the feature is assumed to be Gaussian
Probability density function :
Mathematical expectation (mean):\(\mu\)
variance :\(\sigma^2=\frac{\sum(X-\mu)^2}{N}\)
GaussianNB Will calculate according to the training set \(\mu_{yk}\) and \(\sigma^2_{yk}\).
GaussianNB Class has only one primary parameter , Prior probability priors , Corresponding Y The prior probabilities of each category of \(P(Y=C_k)\). This value is not given by default , If not given at this time \(P(Y=C_k)=m_k/m\). among \(m\) For the total number of samples in the training set ,\(m_k\) The output is the k Number of training set samples of the category . If you give it, you can use priors Subject to .
In the use of GaussianNB Of fit Methods after fitting the data , We can make predictions . There are three ways to predict , Include predict,predict_log_proba and predict_proba.
predict Method is our most commonly used prediction method , Give the prediction class output of the test set directly .
predict_proba Is different , It gives the probability that the test set samples will predict on each category .
predict_log_proba and predict_proba similar , It gives a logarithmic transformation of the probabilities predicted by the test set samples in each category . After the transformation predict_log_proba The category corresponding to the maximum value of the predicted logarithm probability of each category , That is to say predict Method to get the category .
#" The above manual simulation GS Current use sklearn Library implementation
from sklearn.naive_bayes import GaussianNB
clf = GaussianNB()
clf.fit (X_train,y_train)
print(clf.score(X_test,y_test))
print(clf.predict([[4.4,3.2,1.3,0.2]]))
4.2.2MultinomialNB class
MultinomialNB It is assumed that the prior probability of the feature is polynomial distribution , namely :
among ,\(P(X_j=x_{jl}|Y = C_k)\) It's No \(k\) Of categories \(j\) The number of dimensional features \(l\) Conditional probability of values .\(m_k\) It's the output of training concentration \(k\) Number of samples of class .\(\lambda=1\), Laplace smoothing .
MultinomialNB Parameter ratio GaussianNB many , But there are only 3 individual . among , Parameters alpha That's the constant above \(\lambda\), If there is no special need , By default 1 that will do . If the fitting is not good , When tuning is needed , You can choose to be slightly larger than 1 Or a little less than 1 Number of numbers . Boolean parameters fit_prior Indicates whether to consider a priori probability , If it is false, Then all sample category outputs have the same category a priori probability . Otherwise, you can use the third parameter class_prior Enter a priori probability , Or don't enter the third parameter class_prior Give Way MultinomialNB Calculate the a priori probability from the training set , The prior probability is \(P(Y=C_k)=m_k/m\). among \(m\) For the total number of samples in the training set ,\(m_k\) The output is the \(k\) Number of training set samples of the category . Summarized below :
In the use of MultinomialNB Of fit Methods after fitting the data , We can make predictions . There are three ways to predict , Include predict,predict_log_proba and predict_proba. Methods and GaussianNB Exactly the same as .
4.2.3BernoulliNB class
BernoulliNB Suppose that the prior probability of the feature is a binary Bernoulli distribution , namely :
here \(l\) There are only two values .\(x_{jl}\) Only value \(0\) perhaps \(1\).
BernoulliNB Altogether 4 Parameters , among 3 The name and meaning of each parameter and MultinomialNB Exactly the same . The only parameter added is binarize. This parameter is mainly used to help BernoulliNB Dealing with the binomial distribution , It can be a numeric value or not . If you don't type , be BernoulliNB Think that every data feature is already binary . Otherwise , Less than binarize Of will fall into one category , Greater than binarize Of will fall into another category .
In the use of BernoulliNB Of fit After fitting the data , We
You can predict . There are three ways to predict , Include predict,predict_log_proba and predict_proba. Because of the method and GaussianNB Exactly the same as .
5. Summary of naive Bayesian algorithm
The main advantages of naive Bayes are :
1) Naive Bayesian model originated from classical mathematical theory , Stable classification efficiency .
2) Good for small-scale data , Be able to handle multi category tasks , For incremental training , Especially when the amount of data exceeds the memory , We can do incremental training in batches .
3) Less sensitive to missing data , The algorithm is also relatively simple , It is often used in text categorization .
The main disadvantages of naive Bayes are as follows :
1) Theoretically , Compared with other classification methods, naive Bayesian model has the smallest error rate . But it's not always the case , This is because the naive Bayesian model gives the output category , Suppose the attributes are independent of each other , This assumption is often not true in practical application , When the number of attributes is large or the correlation between attributes is large , The classification effect is not good . When the attribute correlation is small , Naive Bayes is the best . For this point , There are algorithms like semi naive Bayes that are moderately improved by considering some correlations .
2) You need to know a priori probability , And a priori probability depends a lot on assumptions , There are many hypothetical models , Therefore, in some cases, the prediction effect is not good due to the assumption of prior model .
3) Because we determine the posterior probability through prior and data to determine the classification , So there is a certain error rate in classification decision .
4) Sensitive to the expression of input data .
6. reference
1. Liu Jianping machine learning
2. expericnce 《 Statistical learning method 》









