当前位置:网站首页>【GCN-RS】MCL: Mixed-Centric Loss for Collaborative Filtering (WWW‘22)
【GCN-RS】MCL: Mixed-Centric Loss for Collaborative Filtering (WWW‘22)
2022-07-25 11:11:00 【chad_lee】
MCL: Mixed-Centric Loss for Collaborative Filtering (WWW’22)
Pointwise和pairwise损失函数挖掘的信息太少了,只是采样样本,然后更新权重
为了从可用的偏好信息中挖掘更多的信号,考虑了难样本和全局信息。
先采集难样本
E E E是欧式距离。
难正样本是指正样本的距离比 距离最小的负样本的距离减阈值 还要大的样本。
E u j > min k ∈ N u E u k − ϵ E_{u j}>\min _{k \in N_{u}} E_{u k}-\epsilon Euj>k∈NuminEuk−ϵ
难负样本是指负样本的距离比 距离最大的正样本的距离加阈值 还要小的样本。
E u k < max j ∈ P u E u j + ϵ E_{u k}<\max _{j \in P_{u}} E_{u j}+\epsilon Euk<j∈PumaxEuj+ϵ
混合中心loss (CML)
采集得到的正负样本集合分别为: P u s , N u s \mathrm{P}_{\mathrm{u}}^{\mathrm{s}}, \mathrm{N}_{\mathrm{u}}^{\mathrm{s}} Pus,Nus。在训练过程中,给定一个batch B(包含m个用户),定义损失函数:
L M C L = 1 α log [ 1 + 1 m ∑ u ∈ B ∑ j ∈ P u s e α ( E u j + λ p ) ] + 1 β log [ 1 + 1 m ∑ u ∈ B ∑ k ∈ N u s e − β ( E u k + λ n ) ] \begin{aligned} L_{M C L} &=\frac{1}{\alpha} \log \left[1+\frac{1}{m} \sum_{u \in B} \sum_{j \in P_{u}^{s}} e^{\alpha\left(E_{u j}+\lambda_{p}\right)}\right] \\ &+\frac{1}{\beta} \log \left[1+\frac{1}{m} \sum_{u \in B} \sum_{k \in N_{u}^{s}} e^{-\beta\left(E_{u k}+\lambda_{n}\right)}\right] \end{aligned} LMCL=α1log⎣⎡1+m1u∈B∑j∈Pus∑eα(Euj+λp)⎦⎤+β1log⎣⎡1+m1u∈B∑k∈Nus∑e−β(Euk+λn)⎦⎤
解释为什么设计这个loss,这个loss对于一对正样本的影响:
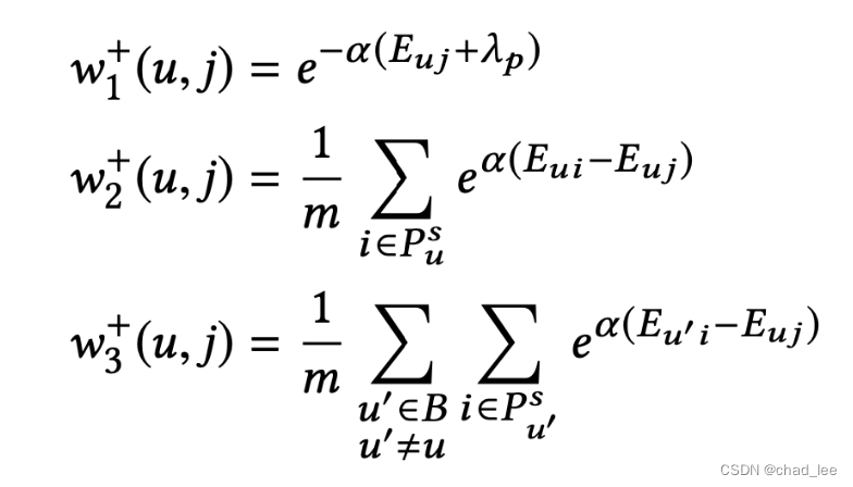
∂ L ∂ E u j = w u j + = 1 m ⋅ e α E u j e − α λ p + 1 m ∑ u ′ ∈ B ∑ i ∈ P u ′ s e α E u ′ i = 1 m ⋅ 1 w 1 + ( u , j ) + w 2 + ( u , j ) + w 3 + ( u , j ) \begin{aligned} \frac{\partial L}{\partial E_{u j}} =w_{u j}^{+} &=\frac{1}{m} \cdot \frac{e^{\alpha E_{u j}}}{e^{-\alpha \lambda_{p}+\frac{1}{m}} \sum_{u^{\prime} \in B} \sum_{i \in P_{u^{\prime}}^{s}} e^{\alpha E_{u^{\prime} i}}} \\ &=\frac{1}{m} \cdot \frac{1}{w_{1}^{+}(u, j)+w_{2}^{+}(u, j)+w_{3}^{+}(u, j)} \end{aligned} ∂Euj∂L=wuj+=m1⋅e−αλp+m1∑u′∈B∑i∈Pu′seαEu′ieαEuj=m1⋅w1+(u,j)+w2+(u,j)+w3+(u,j)1

- 用户-物品中心( w 1 + w_1^+ w1+):仅和用户-物品的距离有关,越远 w 1 w_1 w1越小,loss越大。
- 同类型中心( w 2 + w_2^+ w2+):计算当前正样本物品 j j j与用户其他正难样本之间的关系。如果正样本物品 j j j与用户的距离比其他难正样本的距离更大,则 w 1 w_1 w1越小,loss越大。这类似于对物品embedding空间加一个约束,希望相同类型物品与用户的距离相似(在embedding空间,同一个用户交互过的物品,围绕在用户附近。)
- 同批次中心( w 3 + w_3^+ w3+):和同一个batch中的其他用户进行对比,提供了跨用户的额外一致性,希望每个用户和其正样本的距离都相同。

边栏推荐
- Make a reliable delay queue with redis
- PHP 上传ftp路径文件到外网服务器上 curl base64图片
- 30 sets of Chinese style ppt/ creative ppt templates
- A beautiful gift for girls from programmers, H5 cube, beautiful, exquisite, HD
- 已解决 Files‘ name is invalid or does not exist (1205)
- Common linear modulation methods based on MATLAB
- LeetCode 50. Pow(x,n)
- 【MySQL 17】安装异常:Could not open file ‘/var/log/mysql/mysqld.log‘ for error logging: Permission denied
- LeetCode 50. Pow(x,n)
- W5500上传温湿度到oneNET平台
猜你喜欢
![[electronic device notes 5] diode parameters and selection](/img/4d/05c60641dbdbfbfa6c3cc19a24fa03.png)
[electronic device notes 5] diode parameters and selection

Intelligent information retrieval(智能信息检索综述)

MySQL historical data supplement new data

Eigenvalues and eigenvectors of matrices
![[leetcode brush questions]](/img/86/5f33a48f2164452bc1e14581b92d69.png)
[leetcode brush questions]

Video Caption(跨模态视频摘要/字幕生成)

Oil monkey script link

Similarity matrix, diagonalization condition

Teach you how to configure S2E to UDP working mode through MCU

教你如何通过MCU将S2E配置为UDP的工作模式
随机推荐
Experimental reproduction of image classification (reasoning only) based on caffe resnet-50 network
JaveScript循环
[MySQL 17] installation exception: could not open file '/var/log/mysql/mysqld log‘ for error logging: Permission denied
JS常用内置对象 数据类型的分类 传参 堆栈
剑指 Offer 22. 链表中倒数第k个节点
Classification parameter stack of JS common built-in object data types
W5500多节点连接
Information management system for typical works of urban sculpture (picture sharing system SSM)
Flinksql client connection Kafka select * from table has no data error, how to solve it?
Eigenvalues and eigenvectors of matrices
session和cookie有什么区别??小白来告诉你
程序员送给女孩子的精美礼物,H5立方体,唯美,精致,高清
11. Reading rumors spread with deep learning
JS中的数组
LeetCode 50. Pow(x,n)
Introduction to pl/sql, very detailed notes
"Mqtt protocol explanation and Practice (access to onenet)" of wiznet w5500 series training activities
【USB设备设计】--复合设备,双HID高速(64Byte 和 1024Byte)
基于W5500实现的考勤系统
Signal and slot mechanism ==pyqt5