当前位置:网站首页>CCF 201503-4 网络延时
CCF 201503-4 网络延时
2022-07-25 09:23:00 【Tobi_Obito】
题目
问题描述
给定一个公司的网络,由n台交换机和m台终端电脑组成,交换机与交换机、交换机与电脑之间使用网络连接。交换机按层级设置,编号为1的交换机为根交换机,层级为1。其他的交换机都连接到一台比自己上一层的交换机上,其层级为对应交换机的层级加1。所有的终端电脑都直接连接到交换机上。
当信息在电脑、交换机之间传递时,每一步只能通过自己传递到自己所连接的另一台电脑或交换机。请问,电脑与电脑之间传递消息、或者电脑与交换机之间传递消息、或者交换机与交换机之间传递消息最多需要多少步。
输入格式
输入的第一行包含两个整数n, m,分别表示交换机的台数和终端电脑的台数。
第二行包含n - 1个整数,分别表示第2、3、……、n台交换机所连接的比自己上一层的交换机的编号。第i台交换机所连接的上一层的交换机编号一定比自己的编号小。
第三行包含m个整数,分别表示第1、2、……、m台终端电脑所连接的交换机的编号。
输出格式
输出一个整数,表示消息传递最多需要的步数。
样例输入
4 2
1 1 3
2 1
样例输出
4
样例说明
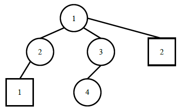
样例的网络连接模式如下,其中圆圈表示交换机,方框表示电脑:
其中电脑1与交换机4之间的消息传递花费的时间最长,为4个单位时间。
样例输入
4 4
1 2 2
3 4 4 4
样例输出
4
样例说明
样例的网络连接模式如下:
其中电脑1与电脑4之间的消息传递花费的时间最长,为4个单位时间。
评测用例规模与约定
前30%的评测用例满足:n ≤ 5, m ≤ 5。
前50%的评测用例满足:n ≤ 20, m ≤ 20。
前70%的评测用例满足:n ≤ 100, m ≤ 100。
所有评测用例都满足:1 ≤ n ≤ 10000,1 ≤ m ≤ 10000。
题目分析
一看这道题有点像搜索,不知道怎么搜,这数据暴力得爆啊~还是试下暴力DFS,果然70分。苦思无果,上网看了大神的点拨~瞬间清晰。
最关键的是这样一个事实:设树中相距最远的两点分别为S、T,那么从树中的任何一点起开始搜索,搜索到的最远的点要么是S,要么是T。下面通过反证法证明(设开始搜索的起点为Begin,搜索达到的最远点为End,Way(x,y)表示从x到y的路径,Length(x,y)表示从x到y的路径总长度):
一、开始点Begin在路径Way(S,T)中,显然搜索到的最远点要么是S,要么是T。
二、开始点Begin不在路径Way(S,T)中,作如下分析:
1、若Way(S,T) ∩ Way(Begin,End) = X,那么
因为从Begin开始搜索最远点为End,所以有
①Length(Begin,X) + Length(X,End) > Length(Begin,X) + Length(X,S)
②Length(Begin,X) + Length(X,End) > Length(Begin,X) + Length(X,T)
由①得,Length(X,End) > Length(X,S),从而 Length(T,X) + Length(X,End) > Length(T,X) + Length(X,S),若End != S,则说明有比从T到S更长的路线Way(T,End),与假设矛盾。②的分析与①类似,同样会与假设矛盾。所以从Begin开始搜索到最远的点要么是S,要么是T。
2、若Way(S,T) ∩ Way(Begin,End) = Ø,设X为Way(S,T)上的一点,显然该前提下End != S and End != T,那么
①Length(Begin,End) > Length(Begin,X) + Length(X,S)
②Length(Begin,End) > Length(Begin,X) + Length(X,T)
由①得,Length(Begin,End) + Length(T,X) - Length(Begin,X) > Length(T,X) + Length(X,S),显然Length(Begin,X) > 0,所以Length(Begin,End) + Length(T,X) + Length(Begin,X) > Length(T,X) + Length(X,S),仔细观察下大于号两边就会发现路径T→X→Begin→End(注意由于Way(S,T) ∩ Way(Begin,End) = Ø的条件下,这条路径不会有重复的点)要比路径T→S更长,这与T→S为最长路径矛盾。对②的分析也是类似的,同样会产生这个矛盾。所以Way(S,T) ∩ Way(Begin,End) = Ø 这个前提不成立,所以只有情况1。
综合一、二,得证。(自己想不到= =,还是多记多想多练吧~)
基于这个事实,问题就好解决了,先通过一次搜索来找到最长路径的一个端点S,再从找到的端点S进行一次搜索就可以找到最长路径的另一个端点T。至于搜索的方式DFS/BFS都行,时间应该也差不多,因为都是对每个结点访问一次。细节方面见代码及注释。
还有一点要补充的是,因为点的数目很庞大,所以采用的邻接表法进行树的的存储。
代码
#include<cstdio>
#include<vector>
#include<queue>
using namespace std;
struct info{
int id;
int step;
};
pair<int,int> bfs(int start,const vector<vector<int> > &Vertex,vector<bool> &visited){//返回<最后一点,最远遍历距离>
int id;
queue<info> q;
info front,t;
visited[start] = true;
t.id = start;
t.step = 0;
q.push(t);
while(!q.empty()){
front = q.front();
q.pop();
id = front.id;
for(int i=0;i<Vertex[id].size();i++){
if(!visited[Vertex[id][i]]){
visited[Vertex[id][i]] = true;
t.id = Vertex[id][i];
t.step = front.step + 1;
q.push(t);
}
}
}
//从队列中最后取出的点一定是搜索到的最远的点
return make_pair(front.id,front.step);
}
int main(){
int n,m,t;
pair<int,int> temp;
scanf("%d %d",&n,&m);
vector<vector<int> > Vertex(n+m+1,vector<int>());//邻接表,0号位置空出
for(int i=2;i<=n+m;i++){
scanf("%d",&t);
Vertex[i].push_back(t);
Vertex[t].push_back(i);
}
vector<bool> visited(n+m+1,false);
temp = bfs(1,Vertex,visited);
visited.assign(n+m+1,false);
printf("%d\n",bfs(temp.first,Vertex,visited).second);
return 0;
}
边栏推荐
- CDA LEVELⅠ2021新版模拟题一(附答案)
- @1-1 CCF 2021-04-1 gray histogram
- @3-2 optimal threshold of CCF 2020-12-2 final forecast
- *7-1 CCF 2015-09-1 sequence segmentation
- 1094 - Google recruitment
- 【Tensorflow2安装】Tensorflow2.3-CPU安装避坑指南!!!
- 初识Opencv4.X----为图像添加高斯噪声
- First knowledge of opencv4.x --- image convolution
- Preliminary understanding and implementation of wechat applet bottom navigation bar
- matlab如何导入大量数据
猜你喜欢

【机器翻译】SCONES——用多标签任务做机器翻译

~1 CCF 2022-06-2 treasure hunt! Big adventure!

@3-2 optimal threshold of CCF 2020-12-2 final forecast

How to import a large amount of data in MATLAB

CUDA explanation - why GPU is used in deep learning

如何将其他PHP版本添加到MAMP
![[deep learning] convolutional neural network](/img/36/081f9e38886f5a7ed4d641761db4b7.png)
[deep learning] convolutional neural network

Raspberry sect door ban system based on face recognition
![[code source] I have a big head for a problem every day](/img/02/cb083e247fe1f8374020db4b803758.png)
[code source] I have a big head for a problem every day

Singleton mode
随机推荐
Raspberry sect door ban system based on face recognition
[code source] daily problem segmentation (nlogn & n solution)
TensorFlow raw_rnn - 实现seq2seq模式中将上一时刻的输出作为下一时刻的输入
单目深度估计自监督模型Featdepth解读(下)——openMMLab框架使用
@1-1 CCF 2021-04-1 gray histogram
Voice chat app source code - produced by NASS network source code
数据分析面试记录1-5
[code source] National Railway
Mixed supervision for surface defect detection: from weakly to fully supervised learning
Customize the view to realize the background of redeeming lottery tickets [elementary]
Create personal extreme writing process - reprint
Kotlin realizes file download
学习新技术语言流程
鱼眼图像自监督深度估计原理分析和Omnidet核心代码解读
cf #785(div2) C. Palindrome Basis
如何安装pytorch?—— 一种最简单有效的方法!
Preliminary understanding and implementation of wechat applet bottom navigation bar
AI模型风险评估 第1部分:动机
How to import a large amount of data in MATLAB
Flutter Rive 多状态例子