后缀数组
后缀数组的算法可以求出所有后缀的排名,并求出 \(height_i=lcp(sa[i],sa[i-1]))\) 这个非常有用的工具
利用倍增算法,每一轮求出每个子串 \([i,i+2^k)\) 的排序,那么下一轮即是把上一轮的结果作为第一关键字,\([i+2^k,i+2^{k+1})\) 作为第二关键字进行排序,用基排实现
即使用二元组 \((sa_i,sa_{i+2^k})\) 来比较
void get_sa(){
for(int i=1;i<=n;i++)c[x[i]=a[i]]++;
for(int i=1;i<=(m='z');i++)c[i]+=c[i-1];
for(int i=n;i>=1;i--)sa[c[x[i]]--]=i;
for(int k=1;k<=n;k<<=1){
int num=0;for(int i=n-k+1;i<=n;i++)y[++num]=i;
for(int i=1;i<=n;i++)if(sa[i]>k)y[++num]=sa[i]-k;
for(int i=1;i<=m;i++)c[i]=0;
for(int i=1;i<=n;i++)c[x[i]]++;
for(int i=1;i<=m;i++)c[i]+=c[i-1];
for(int i=n;i>=1;i--)sa[c[x[y[i]]]--]=y[i];
memcpy(y,x,sizeof x);x[sa[1]]=num=1;
for(int i=2;i<=n;i++)x[sa[i]]=(y[sa[i]]==y[sa[i-1]]&&y[sa[i]+k]==y[sa[i-1]+k]?num:++num);
if((m=num)==n)break;
}
}
其中
for(int i=n-k+1;i<=n;i++)y[++num]=i;
for(int i=1;i<=n;i++)if(sa[i]>k)y[++num]=sa[i]-k;
这两行的意思是这样的,\(y\) 表示第二关键字排名为 \(i\) 的是那个后缀,即按 \(sa_{i+2^k}\) 排名后的下标
由于从 \(n-k+i\) 开始,长度不够,所以第二关键字为零,自然最小,而剩下的则用 \(sa_{i+2^k}\) 去更新 \(i\) 即可
后面的 \(x\) 数组表示第 \(i\) 个位置的第一关键字排名
直接放一些我也不会证的结论:
利用最后一个结论,可以快速 \(O(n)\) 求出 \(height\) 数组
void get_height(){
for(int i=1;i<=n;i++)rk[sa[i]]=i;
for(int i=1,k=0;i<=n;i++){
if(rk[i]==1)continue;
if(k)k--;int j=sa[rk[i]-1];
while(i+k<=n&&j+k<=n&&a[i+k]==a[j+k])k++;
height[rk[i]]=k;
}
}
注意如果不使用 \(sa\),设比较两个后缀大小的复杂度为 \(k\),则朴素的 \(sort\) 下复杂度为 \(knlogn\)
- 树上后缀排序
考虑问题转移到树上其实是多了一个维度,即第一个关键字,第二关键字,以及它们都相同时会出现第三关键字——编号
那么对三元组 \((sa_i,sa_{fa_{i,j}},i)\) 进行排序即可
代码中的 \(rk,y,sa\) 就是分别代表这三个维度的
此时做两边双关键字的基排即可
void dosort(int sa[],int x[],int y[],int m){
for(int i=1;i<=m;i++)c[i]=0;
for(int i=1;i<=n;i++)c[x[i]]++;
for(int i=1;i<=m;i++)c[i]+=c[i-1];
for(int i=n;i>=1;i--)sa[c[x[y[i]]]--]=y[i];
}
void get_sa(){
for(int i=1;i<=n;i++)x[i]=i;
dosort(sa,a,x,'z');
rk[sa[1]]=rkk[sa[1]]=num=1;
for(int i=2;i<=n;i++){
rk[sa[i]]=(a[sa[i-1]]==a[sa[i]]?num:++num);
rkk[sa[i]]=i;
}
for(int k=1,j=0;k<=n;k<<=1,j++){
for(int i=1;i<=n;i++)y[i]=rkk[f[i][j]];
dosort(x,y,sa,n);
dosort(sa,rk,x,n);
swap(rk,x);
rk[sa[1]]=rkk[sa[1]]=num=1;
for(int i=2;i<=n;i++){
rk[sa[i]]=(x[sa[i]]==x[sa[i-1]]&&x[f[sa[i]][j]]==x[f[sa[i-1]][j]]?num:++num);
rkk[sa[i]]=i;
}
}
}
后缀自动机
后缀自动机上存储着一个串的所有后缀,由于所有子串都能通过添加字符变为后缀,所以所有子串也都存储在后缀自动机中
首先平时构建出的结构由两部分组成,一个是 \(DAG\) 结构,也就是自动机,这个结构表示出了所有的子串,类似于接受所有子串的 \(AC\) 自动机
一个是 \(parent\) 结构,这个树形结构维护了 \(endpos\) 集合,有诸多美妙的性质
后缀自动机之所以能压缩状态,是因为把所有 \(endpos\) 集合相同的串归为一个状态
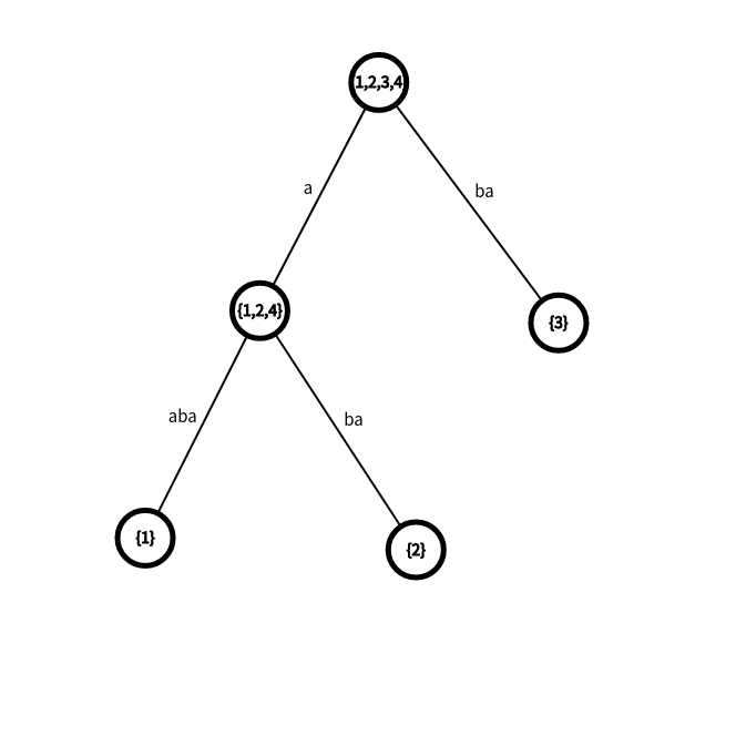
定义 \(endpos(S)\) 指串 \(S\) 在母串中所有出现时结尾位置的集合,以 \(abaa\) 这个串为例:
\(a:1,3,4\)
\(ab,b:2\)
\(aba,ba:3\)
\(abaa,baa,aa:4\)
对于每一类 \(endpos\) 的字符串,都归入一个节点
\(SAM\) 的 \(fail\) 树上的父亲,是包含这个节点 \(endpos\) 集合的最小集合
有这样的性质:所有节点儿子的集合没有交集
对于一个 \(endpos\) 集合,如果给出一个长度 \(len\),那么就可以唯一确定出一个子串
而对于每个集合长度 \(len\) 都有一定的限制,设为 \(minlen,maxlen\)
有这样的性质:\(minlen(p)=maxlen(fa(p))+1\)
而 \(SAM\) 本质上是一个 \(DAG\),有向边代表字符的转移
有这样的性质:\(endpos(son[p][w])\subseteq endpos(fa[p])\)
利用以上性质可以证明 \(SAM\) 的点数与边数规模都为 \(O(n)\)
对于自动机的构建,目前来看似乎需要改动板子的情形不多,大部分情况直接理解性默写即可
void insert(int w){
int p=last,np=last=++tot;
siz[tot]=1;len[np]=len[p]+1;
for(;p&&!son[p][w];p=fa[p])son[p][w]=np;
if(!p)fa[np]=1;
else{
int q=son[p][w];
if(len[q]==len[p]+1)fa[np]=q;
else{
int nq=++tot;
fa[nq]=fa[q];for(int i=0;i<26;i++)son[nq][i]=son[q][i];
fa[q]=fa[np]=nq;len[nq]=len[p]+1;
for(;p&&son[p][w]==q;p=fa[p])son[p][w]=nq;
}
}
return ;
}
首先 \(np\) 是代表最后一个后缀的节点,整个过程一个主要目的是为了给其找父亲
顺着 \(endpos\) 是最后一个点的链往上爬直到有 \(w\) 这个儿子
如果没有,直接认 \(1\) 为儿子,结束
至于另外的情况如果不满足长度条件会产生的影响,目前还没有看懂,总之应该把 \(q\) 分裂成两个节点
\(update:\)
经过一番手模以后有了一些新的理解
对于分裂那块,举一个简单的例子,比如插入 abb
前两个字母的时候长这样

再插入一个 \(b\),可以发现原来 \([3,3]\) 这个子串并不能表示出来,因为虽然 \(3\) 号点可以表示 \(b\),但是 \(3\) 的endpos是 \(2\)
因此需要把 \(3\) 拆成两个点,变成这样

其中 \(5\) 号点的 \(endpos\) 是 \(2,3\),正好成为 \(3,4\) 的父亲
一个小 \(trick\) 是如果不需要建出真实的树,可以按照 \(len\) 排序的结果倒序遍历即为父子关系的倒序关系
- 线段树合并
如果想要得知某个节点的 \(endpos\) 集合,那么可以在 \(SAM\) 上线段树合并
注意要写成不销毁节点的版本,即对于每一个两个树都有的节点都要新建一个节点
这样一来就可以对某一个子串的信息进行利用了,比如要知道 \([l,r]\) 的自动机结构
那么假设当前匹配长度为 \(len\),那么 \(u->v\) 时选取 \(v\) 的不超过 \(r\) 的最大 \(endpos\),\(check\) 其是否超过了左端点,超过了就需要跳 \(fail\) 调整
- 广义 \(SAM\)
相当于是每次插入字符时插入到上一个字符的后面
假如直接每个串分别构建会使得不同串的相同子串分叉成两个儿子从而丢失信息,用两种解决方法:
每次加入时特判是否已经存在当前儿子:
if(son[last][w]){
int q=son[last][w];
if(len[q]==len[last]+1)last=q;
else{
int nq=++tot;fa[nq]=fa[q];memcpy(son[nq],son[q],sizeof son[q]);
fa[q]=nq;len[nq]=len[last]+1;
for(;son[last][w]==q;last=fa[last])son[last][w]=nq;
last=nq;
}
return ;
}
也可以对所有串建出 \(trie\) 树,然后 \(bfs\) 建立,因为这样一来按长度顺序插入就不会有问题了
void bfs() {
queue<int> q;q.push(0);pos[0] = 1;
while (!q.empty()) {
int p = q.front();q.pop();
for (int i = 0; i < 26; i++)
if (trie[p][i]) {
pos[trie[p][i]] = insert(pos[p], i);
q.push(trie[p][i]);
}
}
}
广义 \(SAM\) 的核心是统计子树内的颜色信息,如果想要直到具体的编号可以采用类似的方法线段树合并得到
后缀树
后缀树是把所有后缀建出 \(trie\) 树并把二度点缩成一条边的结构,也可以理解为后缀 \(trie\) 的虚树
定义等价类为从根出发沿着 \(trie\) 树走出的某个串,其在原串的起始位置集合,记为 \(startpos\)
那么有性质 \(startpos\) 为包含关系,也就是说后缀树非常自然地用树形结构刻画出了 \(startpos\) 合并的过程

后缀树的大小不超过 \(2n\)
有结论后缀树是反串的 \(parent\) 树
那么树上的边代表的字符串可以由构建 \(SAM\) 时保留的一个 \(endpos\) 和 \(len\) 很容易求出来
- 后缀数组与后缀树:后缀树上按照字典序遍历儿子得到的 \(dfs\) 序即为后缀数组,子树结构对应后缀数组的区间结构
- 两个后缀的 \(lcp\) 为两个树上节点的 \(lca\),而这种 \(lca\) 的合并性与后缀数组 \(height\) 数组的合并对应
经典问题
本质不同的子串数
自动机结构:本质不同的子串即为从根出发沿 \(DAG\) 行走的路径条数,用拓扑排序+\(dp\) 即可解决
树形结构:为每个节点可以表示出的子串范围,即 \(mxlen-mnlen+1\)(可以发现这种方法可以支持动态加入)
后缀树:后缀树上从根到每一个点(包括被压缩的)的路径都是本质不同的,那么统计所有树边的长度和即可
后缀数组:答案为总个数减去重复子串个数,而每一对重复子串都可以唯一地表示成两个后缀的 \(lcp\),因此答案即为 \(ans-\sum_{i=2}^n height_i\)
P2408 不同子串个数,P4070 [SDOI2016]生成魔咒
子串定位:将给定子串定位在 \(SAM\) 上对应的节点
\(SAM\):首先找到 \(r\) 这个节点插入后的节点,这个节点表示的是 \(r\) 这个前缀,那么其 \(parent\) 树上的祖先即为这个前缀的所有后缀,倍增即可,\(check\) 长度是否达到子串长度
后缀树:类似地从这个后缀的关键点往上倍增
子串出现次数
树形结构:为子串对应节点的 \(endpos\) 集合大小
后缀数组:在对应的 \(sa\) 数组上往两边二分,找到最大的一个区间即为
后缀树:查询子串对应子树的关键点大小即可
最长公共子串
其核心是快速对 \(T\) 的每一个前缀快速求出 \(LCS\)
\(SAM\):首先需要确定 \(T\) 的每一个前缀的位置,那么直接类似于 \(AC\) 自动机往下匹配,找不到儿子的时候直接跳 \(fail\) 即可(因为跳 \(fail\) 相当于跳这个前缀的后缀,这是贪心的思想,相当于是优先从 \(T\) 的前面弹出失配的字符)
后缀数组:类似地转化成求每一个后缀的 \(LCP\),那么把串接在后面跑完 \(sa\) 后寻找前后第一个异色点即可,这样可以保证 \(lcp\) 最大
后缀树:接在一起构建后缀树,答案即为最深的子树内同时有两种关键点的点
对于多个串的情况,后缀数组与后缀树都类似,\(SAM\) 可以把其余串都往第一个上跑,对每个节点取 \(min\) 再求 \(max\) 即可,也可以采用广义 \(SAM\),与后缀树同理
最长不相交子串
\(SAM\):维护出每个 \(endpos\) 的 \(mnlen\) 和 \(mxlen\) 即可
后缀数组:首先二分答案,然后对分成的块中统计位置的最大最小值
自动机结构:一个子串相当于从起点出发的一条路径,考虑 \(dp\) 出走当前节点的所有出边将会产生有多少个子串,把点权设为 \(1\) 或出现次数跑反图的拓扑 \(dp\) 即可
后缀树:把一个节点的所有儿子排序可以按照字典序遍历到所有子串,统计每种点权意义下的子树大小即可
考虑还是采用经典的分段法,那么在每一段中统计最大、次大、最小、次小值即可
如果按照正序求解是一个分裂问题,那么采用类似并查集的时光倒流套路倒序求解,变成了每次合并区间就很好维护了
代码
#include<bits/stdc++.h>
using namespace std;
#define int long long
const int maxn=3e5+5;
const int inf=0x3f3f3f3f3f3f3f3f;
int n,m,c[maxn],sa[maxn],x[maxn],y[maxn],rk[maxn],height[maxn],fa[maxn],siz[maxn],sum,val=-inf,a[maxn],mx[maxn],cmx[maxn],mn[maxn],cmn[maxn];
vector<int>ex[maxn];
pair<int,int>ans[maxn];
char s[maxn];
int read(){
int x=0,f=1;
char ch=getchar();
while(!isdigit(ch)){
if(ch=='-')f=-1;
ch=getchar();
}
while(isdigit(ch)){
x=x*10+ch-48;
ch=getchar();
}
return x*f;
}
void get_sa(){
for(int i=1;i<=n;i++)c[x[i]=s[i]]++;
for(int i=2;i<=m;i++)c[i]+=c[i-1];
for(int i=n;i;i--)sa[c[x[i]]--]=i;
for(int k=1;k<=n;k<<=1){
int num=0;
for(int i=n-k+1;i<=n;i++)y[++num]=i;
for(int i=1;i<=n;i++){
if(sa[i]>k)y[++num]=sa[i]-k;
}
for(int i=1;i<=m;i++)c[i]=0;
for(int i=1;i<=n;i++)c[x[i]]++;
for(int i=2;i<=m;i++)c[i]+=c[i-1];
for(int i=n;i;i--)sa[c[x[y[i]]]--]=y[i],y[i]=0;
swap(x,y);
x[sa[1]]=1;
num=1;
for(int i=2;i<=n;i++){
x[sa[i]]=(y[sa[i]]==y[sa[i-1]]&&y[sa[i]+k]==y[sa[i-1]+k])?num:++num;
}
if(num==n)break;
m=num;
}
return ;
}
void get_height(){
for(int i=1;i<=n;i++)rk[sa[i]]=i;
for(int i=1,k=0;i<=n;i++){
if(rk[i]==1)continue;
if(k)k--;
int j=sa[rk[i]-1];
while(i+k<=n&&j+k<=n&&s[i+k]==s[j+k])k++;
height[rk[i]]=k;
}
return ;
}
int find(int x){
return fa[x]==x?x:fa[x]=find(fa[x]);
}
int calc_val(int x){
return x*(x-1)/2;
}
void calc(int p){
for(int i=0;i<ex[p].size();i++){
int x=ex[p][i];
int xx=find(x-1);
int yy=find(x);
sum+=calc_val(siz[xx]+siz[yy])-calc_val(siz[xx])-calc_val(siz[yy]);
fa[xx]=yy;
siz[yy]+=siz[xx];
int d[6]={-inf,mx[xx],cmx[xx],mx[yy],cmx[yy]};
sort(d+1,d+5);
// for(int i=1;i<=4;i++)cout<<d[i]<<" ";
// cout<<endl;
mx[yy]=d[4];
cmx[yy]=d[3];
int b[6]={-inf,mn[xx],cmn[xx],mn[yy],cmn[yy]};
sort(b+1,b+5);
// for(int i=1;i<=4;i++)cout<<b[i]<<" ";
// cout<<endl;
mn[yy]=b[1];
cmn[yy]=b[2];
val=max(val,max(mx[yy]*cmx[yy],mn[yy]*cmn[yy]));
}
ans[p]=make_pair(sum,val);
if(val==-inf)ans[p].second=0;
return ;
}
signed main(){
n=read();
scanf("%s",s+1);
for(int i=1;i<=n;i++)a[i]=read();
m=122;
get_sa();
get_height();
for(int i=2;i<=n;i++)ex[height[i]].push_back(i);
for(int i=1;i<=n;i++){
fa[i]=i;
siz[i]=1;
mx[i]=mn[i]=a[sa[i]];
cmx[i]=-inf;
cmn[i]=inf;
}
for(int i=n-1;i>=0;i--)calc(i);
for(int i=0;i<n;i++)printf("%lld %lld\n",ans[i].first,ans[i].second);
return 0;
}
后缀数组:首先转化一下先算出自己内部的 \(lcp\) 最后减去,就不用关心从哪个串来的了。那么就是要算出所有区间的 \(height\) 的 \(min\) 之和,可以用单调栈方便解决
后缀树:这题的公式给的非常奇怪,考虑其实际意义,如果放到后缀树上,那么代表着两个后缀节点的路径长度,统计这个东西就好了,即为 \(w* siz_u(n-siz_u)\)
代码
#include<bits/stdc++.h>
using namespace std;
const int maxn=1e6+50;
int n,m,c[maxn],x[maxn],y[maxn],sa[maxn],rk[maxn],height[maxn],tp,sta[maxn],l[maxn],r[maxn];
long long ans;
char s[maxn];
void get_sa(){
for(int i=1;i<=n;i++)c[x[i]=s[i]]++;
for(int i=2;i<=m;i++)c[i]+=c[i-1];
for(int i=n;i>=1;i--)sa[c[x[i]]--]=i;
for(int k=1;k<=n;k<<=1){
int num=0;
for(int i=n-k+1;i<=n;i++)y[++num]=i;
for(int i=1;i<=n;i++){
if(sa[i]>k)y[++num]=sa[i]-k;
}
for(int i=1;i<=m;i++)c[i]=0;
for(int i=1;i<=n;i++)c[x[i]]++;
for(int i=2;i<=m;i++)c[i]+=c[i-1];
for(int i=n;i>=1;i--)sa[c[x[y[i]]]--]=y[i],y[i]=0;
swap(x,y);
num=1;
x[sa[1]]=1;
for(int i=2;i<=n;i++){
x[sa[i]]=(y[sa[i]]==y[sa[i-1]]&&y[sa[i]+k]==y[sa[i-1]+k])?num:++num;
}
if(num==n)break;
m=num;
}
return ;
}
void get_height(){
for(int i=1;i<=n;i++)rk[sa[i]]=i;
for(int i=1,k=0;i<=n;i++){
if(rk[i]==1)continue;
if(k)k--;
int j=sa[rk[i]-1];
while(i+k<=n&&j+k<=n&&s[i+k]==s[j+k])k++;
height[rk[i]]=k;
}
return ;
}
int main(){
// freopen("2.out","w",stdout);
scanf("%s",s+1);
n=strlen(s+1);
ans=(1ll*n*n*n-n)/2;
// cout<<ans<<endl;
m=122;
get_sa();
get_height();
sta[0]=1;
for(int i=2;i<=n;i++){
// cout<<height[i]<<" ";
while(tp&&height[sta[tp]]>=height[i])r[sta[tp]]=i-1,tp--;
sta[++tp]=i;
l[i]=sta[tp-1]+1;
}
while(tp)r[sta[tp]]=n,tp--;
for(int i=2;i<=n;i++){
// cout<<l[i]<<" "<<r[i]<<endl;
ans-=2ll*height[i]*(r[i]-i+1)*(i-l[i]+1);
}
cout<<ans;
return 0;
}
仍然是匹配的模式,考虑循环同构的处理方法
相当于长度扩展一倍,每次要求长度小于 \(len\)
由于本质不同的只算一次,那么后缀自动机上的每个节点打时间戳去重即可
代码
#include<bits/stdc++.h>
using namespace std;
const int maxn=2e6+5;
int n,m,to[maxn],len[maxn],id[maxn],son[maxn][26],fa[maxn],ans,siz[maxn],last=1,tot=1,vis[maxn];
char a[maxn];
void insert(int w){
int p=last,np=last=++tot;
len[np]=len[p]+1;siz[np]=1;
for(;p&&!son[p][w];p=fa[p])son[p][w]=np;
if(!p)fa[np]=1;
else{
int q=son[p][w];
if(len[q]==len[p]+1)fa[np]=q;
else{
int nq=++tot;fa[nq]=fa[q];
memcpy(son[nq],son[q],sizeof son[nq]);
len[nq]=len[p]+1;fa[q]=fa[np]=nq;
for(;p&&son[p][w]==q;p=fa[p])son[p][w]=nq;
}
}
return ;
}
int main(){
scanf("%s",a+1);n=strlen(a+1);
for(int i=1;i<=n;i++)insert(a[i]-'a');
// for(int i=1;i<=tot;i++)cout<<siz[i]<<" "<<fa[i]<<endl;;
for(int i=1;i<=tot;i++)to[len[i]]++;
for(int i=1;i<=tot;i++)to[i]+=to[i-1];
for(int i=1;i<=tot;i++)id[to[len[i]]--]=i;
for(int i=tot;i>=1;i--)siz[fa[id[i]]]+=siz[id[i]];
// for(int i=1;i<=tot;i++)cout<<siz[i]<<" ";
cin>>m;
for(int t=1;t<=m;t++){
scanf("%s",a+1);n=strlen(a+1);ans=0;
for(int i=1,p=1,nowlen=0;i<n*2;i++){
int w=a[(i-1)%n+1]-'a';
if(!son[p][w]){for(;p&&!son[p][w];p=fa[p]);nowlen=len[p];}
if(!p){p=1;continue;}
p=son[p][w];nowlen++;
while(nowlen>n){
nowlen--;
if(nowlen<=len[fa[p]])p=fa[p];
}
if(nowlen>=n&&vis[p]!=t)ans+=siz[p],vis[p]=t;//,cout<<"hhh "<<nowlen<<" "<<p<<endl;
//cout<<p<<endl;
}
printf("%d\n",ans);
}
return 0;
}
这次多了区间的限制
考虑还是跑出长度 \(f[i]\),那么对于区间 \([l,r]\) 相当于是查询 \(max\{min(f[i],i-l+1)\}\)
发现内层多了个 \(min\) 不好处理,由于 \(f[i]\) 每次加一具有单调性,那么可以先二分答案,使得每一个都不受限制,然后用 \(ST\) 表查询区间最大值
代码
#include<bits/stdc++.h>
using namespace std;
const int maxn=4e5+5;
int n,m,fa[maxn],len[maxn],son[maxn][26],f[maxn][26],lg[maxn*10],po[maxn],l,r,last=1,tot=1,t;
char a[maxn],b[maxn];
int read(){
int x=0,f=1;char ch=getchar();
while(!isdigit(ch)){if(ch=='-')f=-1;ch=getchar();}
while(isdigit(ch)){x=x*10+ch-48;ch=getchar();}
return x*f;
}
void insert(int w){
int p=last,np=last=++tot;
len[np]=len[p]+1;
for(;p&&!son[p][w];p=fa[p])son[p][w]=np;
if(!p)fa[np]=1;
else{
int q=son[p][w];
if(len[q]==len[p]+1)fa[np]=q;
else{
int nq=++tot;fa[nq]=fa[q];
memcpy(son[nq],son[q],sizeof son[nq]);
len[nq]=len[p]+1;fa[q]=fa[np]=nq;
for(;p&&son[p][w]==q;p=fa[p])son[p][w]=nq;
}
}
return ;
}
int ask(int l,int r){
if(l>r)return 0;
int le=lg[r-l+1];
return max(f[l][le],f[r-po[le]+1][le]);
}
void pre(){
t=20;po[0]=1;//t+=2;
for(int i=1;i<=t;i++){
po[i]=po[i-1]*2;
for(int j=po[i-1];j<po[i];j++)lg[j]=i-1;
}
for(int j=1;j<=t;j++){
for(int i=1;i<=n;i++){
f[i][j]=max(f[i][j-1],f[i+po[j-1]][j-1]);
}
}
return ;
}
int main(){
// freopen("P6640_6.in","r",stdin);
// freopen("my.out","w",stdout);
scanf("%s%s",a+1,b+1);n=strlen(a+1),m=strlen(b+1);
for(int i=1;i<=m;i++)insert(b[i]-'a');
for(int i=1,p=1,nowlen=0;i<=n;i++){
int w=a[i]-'a';
if(!son[p][w]){
for(;p!=1&&!son[p][w];p=fa[p]);
nowlen=len[p];
}
if(son[p][w])p=son[p][w],nowlen++;
f[i][0]=nowlen;
// cout<<f[i][0]<<endl;
}
// return 0;
pre();t=read();int cnt=0;
// cout<<"hhhh"<<endl;
while(t--){
cnt++;l=read(),r=read();
int lx=l,rx=r+1,pos=r+1;
while(lx<rx){
int mid=lx+rx>>1;
if(mid-f[mid][0]+1>=l)rx=mid;
else lx=mid+1;
}
// cout<<"hhh "<<lx<<endl;
// if(lx+1-f[lx+1][0]+1>=l)lx++;
// cout<<pos<<" "<<r<<endl;
// if(cnt==565)lx++,cout<<lx<<endl,
printf("%d\n",max(ask(lx,r),lx-l));
}
return 0;
}
考虑没有区间限制的暴力做法:对 \(S\) 的 \(SAM\) 跑 \(T\) 进行匹配,跑到第一个没有匹配项的地方找到比 \(T\) 大的转移,如果都能匹配上,那么往回退,直到有一个满足条件的
现在有了区间的限制,如果能判断后缀自动机上的这个节点的 \(endpos\) 集合中有没有当前区间内的点就可以正常做了,那么直接在 \(parent\) 树上线段树合并维护 \(endpos\) 集合即可
代码
#include<bits/stdc++.h>
using namespace std;
const int maxn=4e5+5;
const int maxm=8e5+5;
int n,m,endpos[maxn],len[maxn],fa[maxn],son[maxn][26],hd[maxn],cnt,rt[maxn],l,r,ans,sta[maxn],last=1,tot=1,tp,nn;
char a[maxn];
int read(){
int x=0,f=1;char ch=getchar();
while(!isdigit(ch)){if(ch=='-')f=-1;ch=getchar();}
while(isdigit(ch)){x=x*10+ch-48;ch=getchar();}
return x*f;
}
void insert(int w,int id){
int p=last,np=last=++tot;
endpos[np]=id;len[np]=len[p]+1;
for(;p&&!son[p][w];p=fa[p])son[p][w]=np;
if(!p)fa[np]=1;
else{
int q=son[p][w];
if(len[q]==len[p]+1)fa[np]=q;
else{
int nq=++tot;fa[nq]=fa[q];
memcpy(son[nq],son[q],sizeof son[nq]);
len[nq]=len[p]+1;fa[q]=fa[np]=nq;
for(;p&&son[p][w]==q;p=fa[p])son[p][w]=nq;
}
}
return ;
}
struct Edge{
int nxt,to;
}edge[maxm];
void add(int u,int v){
// cout<<"edge: "<<u<<" "<<v<<endl;
edge[++cnt].nxt=hd[u];
edge[cnt].to=v;
hd[u]=cnt;
return ;
}
struct Seg{
int l,r,son[2];
}t[maxn*40];
int change(int p,int l,int r,int w){
if(!p)p=++tot;t[p].l=l,t[p].r=r;
// cout<<p<<" "<<l<<" "<<r<<" "<<w<<endl;
if(l==r)return p;
int mid=l+r>>1;
if(w<=mid)t[p].son[0]=change(t[p].son[0],l,mid,w);
else t[p].son[1]=change(t[p].son[1],mid+1,r,w);
return p;
}
int merge(int p,int q){
if(!p||!q)return p+q;
int np=++tot;t[np].l=t[p].l,t[np].r=t[p].r;
t[np].son[0]=merge(t[p].son[0],t[q].son[0]);
t[np].son[1]=merge(t[p].son[1],t[q].son[1]);
return np;
}
bool ask(int p,int l,int r,int ll,int rr){
// cout<<p<<" "<<l<<" "<<r<<" "<<ll<<" "<<rr<<endl;
if(!p)return false;
if(t[p].l>=l&&t[p].r<=r)return true;
int mid=ll+rr>>1;
if(l<=mid&&ask(t[p].son[0],l,r,ll,mid))return true;
if(r>mid&&ask(t[p].son[1],l,r,mid+1,rr))return true;
return false;
}
void dfs(int u){
if(endpos[u])rt[u]=change(rt[u],1,n,endpos[u]);//,cout<<u<<" "<<endpos[u]<<endl;
for(int i=hd[u];i;i=edge[i].nxt){
int v=edge[i].to;
dfs(v);rt[u]=merge(rt[u],rt[v]);
}
return ;
}
bool check(int p,int l,int r,int len){
// cout<<p<<" "<<l<<" "<<r<<" "<<len<<endl;
if(l+len>r)return false;
return ask(rt[p],l+len,r,1,nn);
}
int main(){
scanf("%s",a+1);nn=n=strlen(a+1);m=read();
for(int i=1;i<=n;i++)insert(a[i]-'a',i);
for(int i=2;i<=tot;i++)add(fa[i],i);tot=0;dfs(1);
// cout<<ask(rt[4],1,2,1,n)<<endl;return 0;
while(m--){
l=read(),r=read();scanf("%s",a+1);
int p=1;sta[tp=1]=1;n=strlen(a+1);ans=27;
for(int i=1;i<=n;i++){
int w=a[i]-'a';
int to=son[p][w];
if(to&&check(to,l,r,i-2))sta[++tp]=p=to;
else break;
}
a[n+1]='a'-1;
while(ans==27&&tp>=0){
p=sta[tp];
for(int j=a[tp]-'a'+1;j<26;j++){
if(son[p][j]&&check(son[p][j],l,r,tp-1)){
ans=j;break;
}
}
tp--;
}
// cout<<ans<<endl;
if(ans==27)puts("-1");
else{
for(int i=1;i<=tp;i++)putchar(a[i]);
putchar(ans+'a');puts("");
}
}
return 0;
}
首先建出后缀树,那么可以按照字符排序儿子,之后得到的 \(dfs\) 序即为字典序排序后的结果
由于优先考虑长度,那么求出每种长度的个数以后可以确定答案的长度了
那么用一棵线段树维护当前 \(dfs\) 序上的个数,线段树二分就可以了
代码
#include<bits/stdc++.h>
using namespace std;
#define ll long long
#define pb push_back
#define fi first
#define se second
#define mp make_pair
const int maxn=2e6+5;
typedef pair<int,int>pi;
int n,q,last=1,tot=1,fa[maxn],siz[maxn],len[maxn],rig[maxn],re[maxn],mlen[maxn],cf[maxn],dfn[maxn],rem[maxn],num;
map<int,int>son[maxn];
vector<pi>has[maxn],que[maxn],op[maxn];
ll k,sum[maxn];
pi ans[maxn];
char a[maxn];
ll read(){
ll x=0,f=1;char ch=getchar();
while(!isdigit(ch)){if(ch=='-')f=-1;ch=getchar();}
while(isdigit(ch)){x=x*10+ch-48;ch=getchar();}
return x*f;
}
void insert(int w,int id){
int p=last,np=last=++tot;
len[np]=len[p]+1;siz[np]=1;rig[np]=id;
for(;p&&!son[p][w];p=fa[p])son[p][w]=np;
if(!p)fa[np]=1;
else{
int q=son[p][w];
if(len[q]==len[p]+1)fa[np]=q;
else{
int nq=++tot;fa[nq]=fa[q];rig[nq]=id;
son[nq]=son[q];
// memcpy(son[nq],son[q],sizeof son[q]);
len[nq]=len[p]+1;fa[q]=fa[np]=nq;
for(;p&&son[p][w]==q;p=fa[p])son[p][w]=nq;
}
}
return ;
}
void add(int u,int v,int w){has[u].pb({w,v});has[u].shrink_to_fit();}
void dfs(int u){
sort(has[u].begin(),has[u].end());
for(auto v:has[u]){
dfn[v.se]=++num;rem[num]=v.se;
dfs(v.se);rig[u]=max(rig[u],rig[v.se]);
op[mlen[v.se]].pb({v.se,1});
op[len[v.se]+1].pb({v.se,-1});
}
return ;
}
void build(){
for(int i=2;i<=tot;i++){
cf[mlen[i]=len[fa[i]]+1]++;
cf[len[i]+1]--;
add(fa[i],i,a[rig[i]-mlen[i]+1]);
}
dfs(1);for(int i=1;i<=n;i++)cf[i]+=cf[i-1],sum[i]=sum[i-1]+cf[i];
// for(int i=1;i<=n;i++)cout<<sum[i]<<" ";puts("");
return ;
}
struct Seg{
int l,r,sum;
}t[maxn*4];
void build(int p,int l,int r){
t[p].l=l,t[p].r=r;
if(l==r)return re[l]=p,void();
int mid=l+r>>1;build(p<<1,l,mid),build(p<<1|1,mid+1,r);
}
void change(int p,int w){
p=re[p];t[p].sum+=w;
while(p>>1)p>>=1,t[p].sum+=w;
return ;
}
int ask(int p,int w){
if(t[p].l==t[p].r)return t[p].l;
if(t[p<<1].sum<w)return ask(p<<1|1,w-t[p<<1].sum);
return ask(p<<1,w);
}
void solve(){
build(1,1,tot);
for(int i=1;i<=n;i++){
for(auto x:op[i])change(dfn[x.fi],x.se);
for(auto x:que[i]){
int pos=ask(1,x.fi);pos=rem[pos];
ans[x.se]=mp(n-rig[pos]+1,n-rig[pos]+i);
}
}
return ;
}
signed main(){
scanf("%s",a+1);n=strlen(a+1);reverse(a+1,a+n+1);
for(int i=1;i<=n;i++)insert(a[i]-'a',i);
build();q=read();
for(int i=1;i<=q;i++){
k=read();
if(k>sum[n]){ans[i]=mp(-1,-1);continue;}
int pos=lower_bound(sum+1,sum+n+1,k)-sum;
que[pos].pb({k-sum[pos-1],i});
}
solve();for(int i=1;i<=q;i++)printf("%d %d\n",ans[i].fi,ans[i].se);
return 0;
}
字符串
题意:定义相似为之多一个位置不同,求所有长度为 \(m\) 的子串的相似串个数
考虑两个 \(m\) 子串 \(i,j\) 如果相似需要满足 \(lcp(i,j)+lcs(i+m-1,j+m-1)\ge m-1\)
考虑建出两个后缀树,那么就是要统计有多少点对满足两棵树上的 \(lca\) 深度之和 \(\ge m-1\)
涉及到点对统计问题,考虑使用 \(dsu\)\(on\)\(tree\) 解决
在前缀树上找到一个前缀,设当前枚举的 \(lca\) 的深度为 \(d\),那么在后缀树上找到一个最浅的祖先,满足 \(dep\ge m-1-d\) 即可
这个需要用两个树状数组实现,注意是两个,因为需要得知具体的个数,所以一个区间查询,一个单点查询
单点查询的比较难做,可以把一个数计入贡献的时候减去目前树状数组的值,去除贡献的时候再加上即可
代码
#include<bits/stdc++.h>
using namespace std;
#define pb push_back
const int maxn=2e5+5;
int n,m,t,ans[maxn],sta[maxn],tp;
char a[maxn];
vector<int>sta1;
struct BIT{
int c[maxn];
void add(int x,int w){for(;x<=2*n;x+=x&-x)c[x]+=w;}
int ask(int x){int res=0;for(;x;x-=x&-x)res+=c[x];return res;}
void add(int l,int r,int w){add(l,w),add(r+1,-w);}
int ask(int l,int r){return ask(r)-ask(l-1);}
}tr[2];
struct SAM{
int len[maxn],son[maxn][26],fa[maxn],last=1,tot=1,re[maxn],pos[maxn],dfn[maxn],num,siz[maxn],son1[maxn],f[maxn][20],ed[maxn];
vector<int>has[maxn];
void insert(int w,int po){
int p=last,np=last=++tot;len[np]=len[p]+1;pos[re[np]=po]=np;
for(;p&&!son[p][w];p=fa[p])son[p][w]=np;
if(!p)return fa[np]=1,void();
int q=son[p][w];
if(len[q]==len[p]+1)fa[np]=q;
else{
int nq=++tot;len[nq]=len[p]+1;
memcpy(son[nq],son[q],sizeof son[nq]);
fa[nq]=fa[q];fa[q]=fa[np]=nq;
for(;p&&son[p][w]==q;p=fa[p])son[p][w]=nq;
}
}
void dfs(int u){
dfn[u]=++num;siz[u]=1;
for(int v:has[u]){
f[v][0]=u;
for(int i=1;i<=t;i++)f[v][i]=f[f[v][i-1]][i-1];
dfs(v);siz[u]+=siz[v];
if(siz[v]>siz[son1[u]])son1[u]=v;
}
ed[u]=num;
}
int find(int x,int w){for(int i=t;i>=0;i--)if(f[x][i]&&len[f[x][i]]>=w)x=f[x][i];return x;}
void build(bool op){
if(!op){
for(int i=1;i<=n;i++)insert(a[i]-'a',i);
for(int i=1;i<m;i++)re[pos[i]]=0;
}
else for(int i=n;i>=1;i--)insert(a[i]-'a',i);
for(int i=2;i<=tot;i++)has[fa[i]].pb(i);dfs(1);
}
}pre,suf;
void insert(int u){
tr[1].add(suf.dfn[suf.pos[pre.re[u]-m+1]],1);sta[++tp]=u;
ans[pre.re[u]-m+1]-=tr[0].ask(suf.dfn[suf.pos[pre.re[u]-m+1]]);
}
void insert1(int u,int pa){
int to=suf.find(suf.pos[pre.re[u]-m+1],m-1-pre.len[pa]);
ans[pre.re[u]-m+1]+=tr[1].ask(suf.dfn[to],suf.ed[to]);
tr[0].add(suf.dfn[to],suf.ed[to],1);
}
void clear(){
while(tp){
int u=sta[tp];
if(pre.re[u])ans[pre.re[u]-m+1]+=tr[0].ask(suf.dfn[suf.pos[pre.re[u]-m+1]]);
tr[1].add(suf.dfn[suf.pos[pre.re[sta[tp--]]-m+1]],-1);
}
}
void solve(int u,int pa){
if(pre.re[u])insert1(u,pa),sta1.pb(u);
for(int v:pre.has[u])solve(v,pa);
}
void dfs(int u,int op=0){
for(int v:pre.has[u])if(v^pre.son1[u])dfs(v),clear();
if(pre.son1[u])dfs(pre.son1[u],1);
if(pre.re[u])insert1(u,u),insert(u);
for(int v:pre.has[u])if(v^pre.son1[u]){
solve(v,u);
for(int u:sta1)insert(u);
sta1.clear();
}
}
int main(){
// freopen("1.in","r",stdin);
cin>>n>>m;scanf("%s",a+1);t=log2(n*2)+1;
pre.build(0);suf.build(1);
dfs(1);clear();
for(int i=1;i<=n-m+1;i++)printf("%d ",ans[i]);
return 0;
}









