当前位置:网站首页>Chapter 2 Regression
Chapter 2 Regression
2022-07-23 21:10:00 【Sang zhiweiluo 0208】
Linear regression
Gaussian distribution
Gaussian distribution is the most common kind of random distribution , Also known as normal distribution .
If random variable X Obey a mathematical expectation of μ、 The variance of σ² Is a normal distribution , Write it down as N(μ,σ²). The probability density function is the expected value of the normal distribution μ It determines its position , The standard deviation σ It determines the magnitude of the distribution . When μ = 0,σ = 1 The normal distribution of time is the standard normal distribution .
Maximum likelihood estimation MLE
Maximum likelihood estimation is a statistical method , It is used to find the parameters of the correlation probability density function of a sample set .
Least square method
Use maximum likelihood estimation to explain least squares .




- Machine learning modeling is full of assumptions , The assumption also has the following three properties
(1) Connotative : Assumptions are often correct , But not all of them are right .
(2) Simplicity : The assumption is only close to reality , Often need to do some simplification .
(3) Divergence : A conclusion derived under a simplified assumption , The conclusion is not necessarily true only when the hypothesis is true .
θ The analytical solution process of

The parameter optimal solution in the sense of least square

Join in λ After disturbance
If irreversible , You need to add disturbance λ.
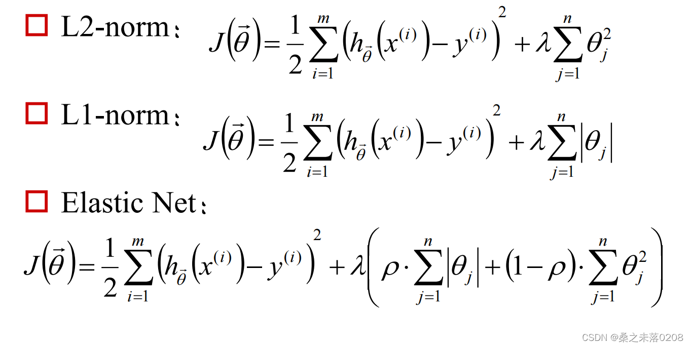
The complexity penalty factor of linear regression

The regularization
Why add a regularization : To prevent over fitting 
Logistic Return to
The preferred algorithm for classification problems
- Classification problem is a supervised learning algorithm for modeling or predicting discrete random variables . The preferred algorithm is Logistic Return to , Solve the dichotomy problem .
- Regression problem is a supervised learning algorithm for modeling or predicting continuous random variables .
Gradient descent algorithm
- Definition of gradient descent method


- The direction of the gradient

- Classification of gradient descent method
(1) Batch gradient descent algorithm
(2) Stochastic gradient descent algorithm
ps: actually , It is better to choose random gradient descent algorithm . Random gradient decline. Generally speaking, the loss value has a downward trend .
(3)mini-batch Gradient descent algorithm
The average gradient of several samples is used as the update direction .
边栏推荐
- Interpretation of Flink catalog
- 手机测试相关基础知识
- scala编程(中级进阶实验应用)
- Too complete, it is recommended to collect! What can sap bring to the enterprise?
- The best time to plant trees is now
- 如何在面試中介紹自己的項目經驗
- Modular development
- A beautiful road
- Vrrp+mstp configuration details [Huawei ENSP experiment]
- Microservice architecture vs single service architecture [what can Huawei cloud service do in the microservice mode]
猜你喜欢

prime_series_level-1

2022-7-23 12点 程序爱生活 小时线顶背离出现,保持下跌趋势,等待反弹信号出现。

The third slam Technology Forum - Professor wuyihong

MySQL(3)

高数下|二重积分的计算4|高数叔|手写笔记

Connect with Hunan Ca and use U_ Key login

Ssm+mysql to realize snack mall system (e-commerce shopping)

WinDbg实践--入门篇
![[continuous update] collection of raspberry pie startup and failure series](/img/f3/706a625cdc214960e2d9ca0c7ea41c.jpg)
[continuous update] collection of raspberry pie startup and failure series

Read the five flow indicators of R & D efficiency insight
随机推荐
Modular development
Addon plug-in 002 of CDR plug-in development - write an EXE program that can be run by double clicking in 1 minute
STM32c8t6驱动激光雷达(一)
Network learning infrared module, 8-way emission independent control
Tell me the top ten securities companies? Is it safe to open an account online?
MySQL(3)
1063 Set Similarity
The common interfaces of Alipay are uniformly encapsulated and can be used directly for payment parameters (applicable to H5, PC, APP)
模块化开发
scala编程(中级进阶实验应用)
High numbers | calculation of double integral 4 | high numbers | handwritten notes
对接湖南CA使用U_KEY登录
High numbers | calculation of triple integral 1 | high numbers | handwritten notes
An interview question about common pitfalls in golang for range
First acquaintance with JS (programming suitable for beginners)
Junior intern, ByteDance, after sharing, has been offered
Minimum spanning tree: Kruskal
Microservice architecture vs single service architecture [what can Huawei cloud service do in the microservice mode]
Jetson nano recording stepping on the pit (it will definitely solve your problem)
Addon plugin 003 for CDR plugin development - awareness solution (SLN) and project (csproj) files