当前位置:网站首页>Random talk on generation diffusion model: DDPM = Bayesian + denoising
Random talk on generation diffusion model: DDPM = Bayesian + denoising
2022-07-25 17:05:00 【PaperWeekly】

PaperWeekly original · author | Su Jianlin
Company | Catch up with technology
Research direction | NLP、 neural network
up to now , The author gives a generative diffusion model DDPM Two derivations of , Namely 《 Generation diffusion model :DDPM = Demolition + Building construction 》 Popular analogy scheme and 《 Generation diffusion model :DDPM = Autoregressive equation VAE》 Variational self encoder scheme in . The two schemes have their own characteristics , The former is more straightforward and easy to understand , But we cannot do more theoretical extension and quantitative understanding , The latter is more complete in theoretical analysis , But a little formalized , Not inspiring .

▲ Bayes theorem ( From wikipedia )
In this article , Let's share again DDPM A derivation of , It mainly uses Bayesian theorem to simplify calculation , Of the whole process “ To scrutinize ” The taste is quite strong , It's very enlightening . More Than This , It also follows what we will introduce later DDIM Model [1] There's a strong connection .

Model painting
Review again ,DDPM The following transformation process is modeled :

among , Positive is the sample data Gradually become random noise The process of , Reverse is to put random noise Gradually become sample data The process of , The reverse process is what we want “ Generate models ”.
The forward process is simple , Every step is

Or written
402 Payment Required
. In constraining under , We have
So we can find
402 Payment Required
, among , and .DDPM What to do , It is from the above information that the reverse process needs , In this way, we can realize from any set out , Gradually sample out , Finally, we get the randomly generated sample data .

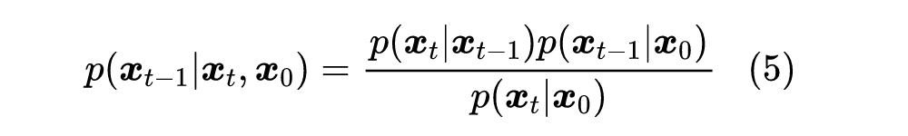
Please Bayes
Now let's introduce the great Bayes theorem [2]. in fact , Directly according to Bayes theorem, we have

However , We don't know The expression of , So the road is blocked . But we can go second , In the given Under the condition of using Bayesian theorem :

Naturally, this modification is due to It's all known , So the above formula is computable , Substitute into their respective expressions to get :

deduction : The derivation of the above formula is not difficult , It's just routine unfolding and sorting , Of course, we can also find some skills to speed up the calculation . First , Insert the respective expressions , You can find that the index is partially removed Outside the factor , The result is :

It's about It's twice , Therefore, the final distribution must also be normal distribution , We just need to find the mean and covariance . It's not hard to see. , In the expansion The coefficient of the term is

So the result must be
402 Payment Required
In the form of , This means that the covariance matrix is . On the other side , The coefficient of the first-order term is , Divide Then you can get
That's what you get All the information about , The result is the formula (6).

Denoising process
Now we have , It has an explicit solution , But it's not the final answer we want , Because we just want to pass To predict the , Instead of relying on , Is the final result we want to generate . Next , One “ indulge in the wildest fantasy ” The idea is :
If we can pass To predict the , Then it can be eliminated Medium , Make it only depend on Did you? ?
Do as you say , We use it To estimate , The loss function is . After training , We just think

stay in , For raw data , Represents noisy data , So this is actually training a denoising model , This is the same. DDPM One of the first “D” The meaning of (Denoising).
say concretely , signify , Or written , This inspires us to Parameterize to

Now the loss function becomes

Omit the previous coefficient , You get DDPM The loss function used in the original paper . You can find , This article is a direct conclusion from To Denoising process , Not like the previous two articles , adopt To The denoising process of plus integral transformation to deduce , In contrast, the derivation of this paper is more in place .
On the other side , We're going to (11) Substitute into (10) in , Simplify to get

This is the distribution used in the reverse sampling process , Together with the variance used in the sampling process, it is also determined . thus ,DDPM The derivation is complete ~( Tips : For the sake of the smoothness of derivation , In this paper, the Different from the previous two introductions , On the contrary, it's with DDPM The original paper is consistent .)
deduction : Will type (11) Substitute into (10) The main simplification difficulty is calculation


Estimate correction
I wonder if readers have noticed an interesting place : What we have to do , Just want to Slowly become , And we are borrowing The approximate when , But it includes “ use To estimate ” This step , If you can predict accurately , Then you can do it directly in one step , Do you still need to take samples step by step ?
The truth is ,“ use To estimate ” Of course not too accurate , At least it won't be too accurate for quite a few steps at the beginning . It only serves as a forward-looking prediction , Then we just To take a small step , This is one of many numerical algorithms “ forecast - correct ” thought , That is, we use a rough solution to push forward many steps , Then use this rough result to advance the final result by a small step , So as to gradually obtain a more refined solution .
From this we can also associate Hinton Proposed three years ago 《Lookahead Optimizer: k steps forward, 1 step back》[3], It also includes estimates (k steps forward) And fix (1 step back) Two parts , The original paper interprets it as “ fast (Fast)- slow (Slow)” The combination of weights , Fast weight is the result of estimation , The slow weight is the correction result based on the prediction . If you like , We can also interpret in the same way DDPM Of “ forecast - correct ” The process ~

remaining problems
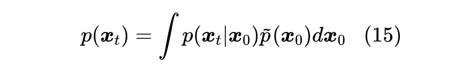
Last , In the section using Bayesian theorem , We say (4) The reason why it can't be used directly is and I don't know . Because by definition , We have

among Yes, I know. , And data distribution It's impossible to predict , So we can't calculate . however , There are two special examples , It can be calculated directly , Here we also make a supplementary calculation , The result also happens to be the answer to the variance selection problem left over from the previous article .
The first example is that the entire data set has only one sample , No loss of generality , Suppose the sample is , here Dirac distribution , You can directly calculate . Then substitute into (4), It can be found that the result is take The special case of , namely

Our main concern is that the variance is , This is one of the choices of sampling variance .
The second example is that the data set obeys the standard normal distribution , namely . We said that before
402 Payment Required
signify , At this time, according to the assumption , So from the superposition of normal distribution , It also obeys the standard normal distribution . The probability density of the standard normal distribution is substituted into the formula (4) after , The exponential part of the result is removed Outside the factor , The result is :
Follow derivation The process is similar to , We can get the above index corresponding to

We are also mainly concerned about the variance of , This is another choice of sampling variance .

Summary of the article
This article shares DDPM One of them is quite “ To scrutinize ” Derivation of taste , It uses Bayesian theorem to directly deduce the reverse generation process , Compared with the previous “ Demolition - Building construction ” The understanding of analogy and variational inference is more in place . meanwhile , It is also more enlightening , With the following introduction DDIM There is a close connection .

reference

[1] https://arxiv.org/abs/2010.02502
[2] https://en.wikipedia.org/wiki/Bayes%27_theorem
[3] https://arxiv.org/abs/1907.08610
Read more

# cast draft through Avenue #
Let your words be seen by more people
How to make more high-quality content reach the reader group in a shorter path , How about reducing the cost of finding quality content for readers ? The answer is : People you don't know .
There are always people you don't know , Know what you want to know .PaperWeekly Maybe it could be a bridge , Push different backgrounds 、 Scholars and academic inspiration in different directions collide with each other , There are more possibilities .
PaperWeekly Encourage university laboratories or individuals to , Share all kinds of quality content on our platform , It can be Interpretation of the latest paper , It can also be Analysis of academic hot spots 、 Scientific research experience or Competition experience explanation etc. . We have only one purpose , Let knowledge really flow .
The basic requirements of the manuscript :
• The article is really personal Original works , Not published in public channels , For example, articles published or to be published on other platforms , Please clearly mark
• It is suggested that markdown Format writing , The pictures are sent as attachments , The picture should be clear , No copyright issues
• PaperWeekly Respect the right of authorship , And will be adopted for each original first manuscript , Provide Competitive remuneration in the industry , Specifically, according to the amount of reading and the quality of the article, the ladder system is used for settlement
Contribution channel :
• Send email :[email protected]
• Please note your immediate contact information ( WeChat ), So that we can contact the author as soon as we choose the manuscript
• You can also directly add Xiaobian wechat (pwbot02) Quick contribution , remarks : full name - contribute

△ Long press add PaperWeekly Small make up
Now? , stay 「 You know 」 We can also be found
Go to Zhihu home page and search 「PaperWeekly」
Click on 「 Focus on 」 Subscribe to our column
·

边栏推荐
- 【知识图谱】实践篇——基于医疗知识图谱的问答系统实践(Part5-完结):信息检索与结果组装
- What are the free low code development platforms?
- Automatic reply of wechat official account development message
- Replicate swin on Huawei ascend910_ transformer
- 3D 语义分割——Scribble-Supervised LiDAR Semantic Segmentation
- Chapter V: process control
- Go语言系列:Go从哪里来,Go将去哪里?
- 一百个用户眼中,就有一百个QQ
- C#入门基础教程
- mindoc制作思维导图
猜你喜欢
![[target detection] tph-yolov5: UAV target detection based on Transformer's improved yolov5](/img/be/5348170fb460cbafbdb848d70fea15.png)
[target detection] tph-yolov5: UAV target detection based on Transformer's improved yolov5
![[Nanjing University of Aeronautics and Astronautics] information sharing for the first and second examinations of postgraduate entrance examination](/img/d8/a367c26b51d9dbaf53bf4fe2a13917.png)
[Nanjing University of Aeronautics and Astronautics] information sharing for the first and second examinations of postgraduate entrance examination

Rainbow plug-in extension: monitor MySQL based on MySQL exporter

大型仿人机器人的技术难点和应用情况

WPF implements user avatar selector

Multi tenant software development architecture

152. Product maximum subarray

Fudan University emba2022 graduation season - graduation does not forget the original intention and glory to embark on the journey again

jenkins的文件参数,可以用来上传文件

Jenkins' file parameters can be used to upload files
随机推荐
复旦大学EMBA2022毕业季丨毕业不忘初心 荣耀再上征程
WPF implements user avatar selector
为什么 4EVERLAND 是 Web 3.0 的最佳云计算平台
How to delete Microsoft Pinyin input method in win10
mindoc制作思维导图
聊聊如何用 Redis 实现分布式锁?
win10如何删除微软拼音输入法
From digitalization to intelligent operation and maintenance: what are the values and challenges?
C#入门基础教程
【目标检测】YOLOv5跑通VOC2007数据集(修复版)
[cloud co creation] explore how gaussdb helps ICBC create core financial data
在华为昇腾Ascend910上复现swin_transformer
Rosen's QT journey 99 QML table control tableview
Register service instances in ngmodule through dependency injection
[book club issue 13] +ffmpeg open source project
Use huggingface to quickly load pre training models and datasets in moment pool cloud
The gas is exhausted! After 23 years of operation, the former "largest e-commerce website in China" has become yellow...
微信公众号开发之消息的自动回复
【读书会第13期】+FFmpeg开源项目
Chain game development ready-made version chain game system development detailed principle chain game source code delivery


