当前位置:网站首页>10. Rendering Basics
10. Rendering Basics
2022-07-25 05:46:00 【C--G】
Radiometry
First , Think about our definition of light intensity so far ? It's just a simple use of 3 dimension (R,G,B) Vector to describe , But there is no unit , If you want a completely correct model , This is obviously not supposed , Light must be described by appropriate physical quantities !
whited-style Ray tracing model , Not a correct model
- whited-style Raytracing does not track diffuse rays , Instead, it directly returns the current shading point color
- When calculating the contribution of direct illumination of light source , Used Blinn-Phong Model , and Blinn-Phong The model itself is an inaccurate empirical model , Using this model whited-style Raytracing itself is naturally incorrect
Radiometry is actually a set of measurement systems and units for light , It can accurately describe the physical properties of light
say concretely , What we need to understand is some of the concepts about light , Respectively : Radiant energy (Radiant energy), radiant flux (Radiant flux), Radiation intensity (Radiant intensity),irradiance,radiance
Radiant energy (Radiant energy) And radiation flux (Radiant flux)
Radiant energy The definition of 
The so-called radiant energy is actually very intuitive , Is the electromagnetic energy radiated , The unit is Joule . Analogy can be made with the magnitude of work done in Physics
Radiant flux(power)
The so-called radiation flux or radiation power , In fact, it is based on the radiant energy divided by time , That is, the energy per unit time . It can also be compared with the power in Physics
Specifically speaking, it is generally preferred to use radiant flux To measure the brightness of light , Because we are more concerned about the effect of unit time , In fact, it's the same thing , Think about when talking about incandescent bulbs 60W brightness ,80W brightness
Radiation intensity (Radiant intensity)
Before the specific mathematical definition , First, with the help of the following figure, set up a pair of the remaining 3 Some intuitive understanding of concepts 
- Radiant itensity In fact, it refers to the brightness in a certain direction starting from a light source
- Irradiance Refers to the brightness of light received by a tiny plane
- radiance It measures the brightness of a propagating light ( Not affected by the direction of propagation )
The brightness here can also be understood as radiant flux(power)
Radiant intensity The mathematical definition of 
Radiant intensity In a word, it is the power per unit solid angle emitted from the light source
solid angle In fact, it is the expansion of the radian of the circle in two-dimensional space on the ball in three-dimensional space
The two-dimensional calculation radian formula is as follows 
** namely θ = l \ r **
** That is, the ratio of the projected area of the sphere corresponding to the solid angle to the square of the upper radius , The solid angle of the whole ball is 4 π **
Radiant intensity In the definition of , Differential solid angle d ω
First determine a direction in space ( adopt θ , ϕ ), Add a differential value on these two angles , Then the projected area corresponding to the ball as shown in the figure can be calculated . among r dθ Is the height of the differential area element ,r s i n θ d ϕ Is the width of the differential area element , Multiply the two , Nature is the area , Then divide by r^2 You can get the differential solid angle
Here you can also verify , Yes d ω Integrate on the whole ball

Note before calculating the differential solid angle , We actually chose a direction in space ( from θ , ϕ \theta,\phiθ,ϕ Determined ), Call this direction ω , And then on this basis, we can do θ , ϕ increase d θ , d ϕ After calculation, the final d ω, therefore Radiant intensity The physical meaning of is very clear at this time , It is the power per unit solid angle emitted by the light source in a certain direction , In short, the brightness of the light source in a certain direction
An isotropic point light source calculation Radiant intensity Example 

irradiance

In a word ,irradiance It refers to the energy received per unit irradiation area , The unit is shown in the figure . With the help of irradiance, It can be easily explained in Blinn-Phong mentioned Lambert’s Law, That is, the brightness of the light needs to be multiplied by cosθ, As shown in the figure below 
When the light is perpendicular to the plane , As shown on the left side of the picture above , The area illuminated on the plane is different from that of the light itself “ Same width ”. But when the light shines obliquely on the plane , At this time, the irradiation area is no longer the light itself “ Width ” 了 , Specifically, the exposure area at this time A 2=A/cosθ
Then for the case on the right irradiance The calculation of should be :E 2 = Φ / A 2 = Φ c o s θ / A, be relative to E 1 = Φ / A And this actually explains Lambert’s Law Multiply by one c o s θ cos\thetacosθ The reason why the .
Besides , Recall is also in Blinn-Phong The farther the light mentioned in the model is, the more it will decay 
This phenomenon can also be used irradiance explain , Because the power of light is always the same , The larger the area of the sphere irradiated far from the point light , Therefore, according to irradiance The formula of , The larger the area value of the denominator ,irradiance The smaller it is
radiance

Summarize in one sentence , So-called radiance It refers to the solid angle per unit , Power per unit vertical area , Intuitively , It's like Intensity and irradiance The combination of . It specifies both the direction of light and the brightness received by the illuminated surface
But there is a subtle difference , stay irradiance Per unit irradiation area defined in , And in the radiance among , In order to better describe the brightness of a light propagation , And in the process of propagation, the size does not change with the direction , So in the definition, the part about the receiving area is per unit vertical area , This difference also explains the difference in the denominator of the formula in the figure c o s θ, See the following figure for details 
That is... In the picture d A dAdA yes irradiance Corresponding to the definition in , and d A ⊥ It's just radiance Area defined in . The relationship between the two is d A ⊥ = d A c o s θ
In understanding the radiance and irradiance After the definition of , Then discuss the relationship between them , Through the definition formula of the two , It is not difficult to get the following results 

Look at the formula after integration ,E ( p ) That's the point. p Of irradiance, Its physical meaning is the point mentioned above p Power per unit irradiation area , and L i ( p , ω ) Refers to the incident light per solid angle , Power per vertical area , So the integral on the right c o s θ Explain the difference in the definition of area , And yes d ω integral , It is equivalent to summing all incident rays at different angles , Then the physical meaning of the integral formula is , One point ( Differential area element ) Received brightness (irradiance), By the brightness of incident light in all different directions (radiance) Common contributions have been
Bidirectional reflection distribution function (BRDF)
After all the definitions of various concepts in radiometry mentioned above , We can understand the reflection of light from such an angle 
One point ( Differential area element ) The brightness in a certain direction (d E ( ω i ) ) after , Then radiate energy in different directions (d L r ( ω r ) )
Intuitive understanding , Different object surface materials will naturally change the incident brightness in a certain direction (d E ( ω i ) ) Reflect light in different directions (d L r ( ω r ) ), For example, an ideal smooth surface will completely reflect the incident light to the specular reflection direction , Other directions are completely absent . For example, an ideal rough surface will uniformly reflect the incident light in all directions . So the so-called BRDF Is to describe such an incident from different directions , Function of reflected light distribution , The definition is as follows 
The formula at the bottom of the above figure is BRDF, It takes two parameters, the direction of incident light ω i , The direction of the reflected light ω r, The function value is of reflected light radiance With incident light iiradiance The ratio of the . With the help of BRDF, The reflection equation can be defined as follows 
That is, what the camera receives ω r Reflected light in the direction , Is caused by the incident light in all different directions irradiance Contribution to get ( Of the formula in the figure L i ( p , ω i ) cos θ i d ω i ), And the incident light in different directions irradiance To the direction of reflection ω r The degree of contribution is determined by the surface material of the object , So I took a BRDF function
Through radiometry , as well as BRDF The resulting reflection equation is a completely correct illumination model 
It is not difficult to find, as the above figure shows , Incident light radiance It's not just the light source , It may also be reflected light from shading points on other objects radiance, Just reflect to the current shading point p, And the reflected light on other objects radiance This is still the case , you 're right ! This is related to whitted-style The ray tracing process is very similar , It is also a recursive process . So it is difficult to solve such an equation
Rendering equations
The knowledge of rendering equation adds a self illumination term to the reflection equation (Emission term), Thus, the reflection equation is more general
among L e ( p , ω o ) Is a self luminous item , In the reflection equation c o s θ use ,n ⋅ ω Instead of
Understand the rendering equation from the scene of a point light source and a single object 
A point light source naturally has incident light in only one direction for a point , So there is no integral here
Multiple point light sources and one object 
Sum up the contributions of all these point lights
A point light becomes an area light 
In fact, the area light source is equivalent to the collection of infinite point light sources , Only need to Integrate the solid angle range of the area light source , And it can determine the incident light of area light sources with different solid angle directions radiance that will do
So further , Then add other objects to the scene , Make light interaction between objects 
As shown in the figure above , Other objects can also be considered as area light sources , Integrate the solid angle it occupies , However, the solid angle integral of other objects is not like that of a surface light source in all incident directions radiance, The solid angle of an object may be incident in only a few directions radiance( That is, the light reflected between objects for many times just shines on the coloring point x), Not in other directions , But in essence, it can be regarded as an area light source .
Looking at the rendering equation in the figure below, you can find that there are only two radiance, All other items are known , The above formula can be further written into the formula shown below 
Each item corresponds to the original rendering equation one by one ,( In fact, there is strict mathematical derivation here , But we're just going to build an intuitive physical explanation , Don't worry about these derivations , It can be set by default ), We'll go on with the , This formula can be discretized into the form of linear algebra :
After two steps we are not very clear, but it is actually the correct mathematical derivation , Got such a formula :
among L In fact, it is the reflected light you want to get ,E Self illumination is actually the luminous term of the light source ,K It can be understood as an operator operation to reflect light . Then it is easy to deduce by using the knowledge of linear algebra L The results are as follows 
among I II Is the unit matrix , And then on (I-K)^−1 Using the generalized binomial theorem, we get 
Look at this formula carefully , Be careful E Is the light emitted by the light source ,K Is the reflection operator , The physical meaning of such an equation is shown in the figure below 
E Light emitted for the light source ,KE It represents the result of reflecting the light source once , Direct light , Then the sum of the first two items is the result of coloring in rasterization , For global illumination , And I think about it K2E, That is, the indirect illumination of an ejection ,K3E It's the indirect illumination of two ejections , By analogy .
In this way, the whole result is very clear , It is the result of light source illumination plus direct illumination and multiple indirect illumination ! And all this is derived from the rendering equation , So this is the physical meaning of rendering equation
Several pictures based on physical rendering 
Double reflection , Considering the indirect illumination of an ejection 
3 Secondary reflection , Considering the indirect illumination of two ejections 
The more you think about it, the closer it is to the real picture effect , Approaching convergence
Monte Carlo path tracking
Monte Carlo integral (Monte Carlo Integration)
The purpose of Monte Carlo integration : When an integral is difficult to get the answer analytically, the integral result can be approximated by Monte Carlo , As shown in the figure below 
Obviously, for such a function , It's hard to express it in a mathematical formula , Therefore, the integral value cannot be directly obtained by the general analytical method , At this time, the idea of Monte Carlo can be used
The principle and practice of Monte Carlo integration : The function value is sampled many times to find the mean value as the approximation of the integral value
This practice is very easy to understand , Imagine if the function value in the above figure is uniformly sampled , In fact, it is equivalent to cutting the entire integral area into many rectangles , Then add up all the areas of these small rectangles . you 're right , This practice is almost consistent with the idea of Riemann integral . But Monte Carlo integral is more general, Because it can specify a distribution to sample the integrated value , The definition is as follows 
As shown in the figure , We want to find a function f(x) In the integral field [a,b] The integral value on , Select a sampling distribution p ( x ), By sampling the function value of this distribution many times , The final estimated value is shown in the formula at the bottom of the figure
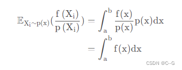
Make a simple derivation , The practice of seeking the mean value is also an approximation of expectation 
Then for such a set of formulas that obey the expectation of a certain distribution, we can directly calculate 
From the above derivation, we can see that the approximation of Monte Carlo is an unbiased estimation of the integral value , For convenience , All samples are uniformly sampled 
therefore , Monte Carlo is here a way to help find the value of difficult integrals
Monte Carlo path tracking (Monte Carlo Path Tracing)
Rendering equations 
There are two difficulties in solving the above equation :
- The calculation of the integral
- Recursive form
Before entering the specific calculation , Make a small change to the rendering equation , That is, abandon the self illumination item ( Because other objects will not emit light except the light source ), To facilitate calculation and derivation 
Start with specific examples , First of all, just consider direct lighting 

Observe that the modified equation is actually just a simple integral calculation , Its physical meaning is coloring point p To the camera or human eye Radiance value
For a difficult integration, as long as the sampling distribution of an integrated variable is selected, the approximate value of the integration result can be obtained by Monte Carlo method , At this time, the integrated value is ω i , selected ω i ∼ p ( ω i ) , It is not difficult to get the approximate result of the integral as follows 
First, consider direct lighting alone , So only when the sampling direction ω i When hitting the light source , The light source will contribute to the shading point , The calculation pseudo code is as follows 
It is not enough to consider direct light alone , Indirect illumination is also required , That is, when sampling ω i Direction collided with other objects , As shown in the figure below 
At this time, the sampled light collided with another object Q spot , Then the path faces the color dot P What is your contribution ? Naturally, at point Q Multiply the direct illumination by the percentage reflected in that direction ! Obviously, this is a recursive process similar to ray tracing , The difference is that this method can find a feasible path by sampling the direction of light , This is why it is called path tracking , The pseudocode is as follows 
thus , We successfully solved the integral value of the rendering equation by Monte Carlo , It also solves the problem of recursion by considering direct illumination and indirect illumination . But this method has a very fatal problem so far 
We solve the equation by sampling the direction of light every time , Suppose every sampling 100 strip , Then the first sampling from the human eye is 100 strip , After the second reflection 10000 strip , By analogy , The more reflections, the more light will explode , The amount of calculation will be unaffordable , So how can we make the amount of light not explode ? Only one direction is sampled at a time !N=1

If only one direction is sampled at a time, the problem is also obvious , The result of integral calculation is noisy , Although the Monte Carlo integral is an unbiased estimate , But the smaller the sample, the greater the deviation . But this problem is easy to solve , If you only look for one path at a time, the result is bad , Then repeat many times to find multiple paths , Average the results of multiple paths ! As shown in the figure below 
Improved Path Tracing Pseudo code 
By repeatedly sampling the light passing through pixels , Each time in the reflection, only one direction is randomly selected according to the distribution , It solves the problem that only the light passing through pixels is sampled once , The problem of light explosion caused by multiple sampling of reflected light according to distribution .
Have all the problems been solved now ? Not yet ! because shade Function recursion has no exit , Never stop . But there is not a recursive exit method like setting the reflection depth display in ray tracing , Instead, it uses Russian Roulette very subtly (Russian Roulette).
Here is a revolver , Two bullets , You don't know which shot will actually shoot a bullet , So shoot yourself with this left wheel , Do you have 4/6 The probability of surviving , This is the concept of Russian Roulette
Apply it to path tracking , First set a probability P , Yes P The probability ray will continue to recurse and set the return value to L o / P, Yes 1 − P The probability of ray stopping recursion , And back to 0. Under such a clever setting, the light must stop recursion after a certain reflection , And the result of calculation is still unbiased , because Radiance Our expectations remain unchanged , Prove the following 
shade The pseudo code of the function is changed as follows , Makes it possible to stop recursion 
thus , Most of our path tracking algorithm has been completed , Just one last little problem ! Nowadays, the efficiency of path tracking is very low , As shown in the figure

In every calculation of direct illumination , Choose one direction through uniform sampling , But very little light can point to the light source , Especially when the light source is small , The more obvious this phenomenon is , A lot of sampled light is wasted
Therefore, when calculating the direct illumination, it is improved to sample the light source directly ! In this way, all sampled light will definitely hit the light source ( If there is no other object in the middle ), No light will be wasted again . Suppose the area of the light source is A, Then the light source is sampled p d f = 1 / A ( because ∫ pdf d A = 1), But the original rendering equation

It's obviously in the direction of light ω i For integrating , If you want to sample the light source and still use Montecarlo's method , Then it must be modified to the light source area dA Integral , In other words, we need to find dA And dω i The relationship between . As shown in the figure below 

In this way, we will succeed from ω i The integral goes to the area of the light source A Integral , Then the Monte Carlo method can be used to sample the light source and calculate the integral value of direct illumination , For indirect illumination , The previous method is still used for uniform sampling of light direction . The final pseudocode is as follows , It is divided into direct illumination and indirect illumination :
When calculating the direct illumination, it is also necessary to judge whether there is an object occlusion between the light source and the shading point , The practice is also very simple , Just from the shading point x Sampling points to light sources x’ Send out a detection light to judge whether it intersects with objects outside the light source , As shown in the figure 
边栏推荐
- The u-collapse component of uniapp mobile uview is highly init
- 2020icpc Jiangxi warm up e.robot sends red packets (DFS)
- Summer summary 2
- 50: Chapter 5: develop admin management service: 3: develop [query whether the admin user name already exists, interface]; (this interface can only be called when logging in; so we have written an int
- ECS is exclusive to old users, and the new purchase of the remaining 10 instances is as low as 3.6% off
- Leetcode 204. count prime numbers (wonderful)
- 2020ICPC 江西省赛热身赛 E.Robot Sends Red Packets(dfs)
- ABC 261.D - Flipping and Bonus ( DP )
- Array programming problem of CSDN programming challenge
- Working principle and precautions of bubble water level gauge
猜你喜欢

sqlilabs less-29

HTB-Devel

PHP warehouse inventory management system source code WMS source code

剑指 Offer 45. 把数组排成最小的数

HTB-Devel

新时代生产力工具——FlowUs 息流全方位评测

QT qtextedit setting qscrollbar style sheet does not take effect solution

10、渲染基础

Difference between NPX and NPM

The computer accesses the Internet normally with the same network cable, and the mobile phone connects to WiFi successfully, but it cannot access the Internet
随机推荐
Array programming problem of CSDN programming challenge
HTB-Devel
Zhou Chen, vice president of zhanrui market, responded to everything about 5g chip chunteng 510!
Ffmpeg notes (I) fundamentals of audio and video
(Niuke multi School II) j-link with arithmetic progress (least square method / three points)
uniapp手机端uView的u-collapse组件高度init
School day (summer vacation daily question 2)
G1 garbage collector
Switch NPM source to private source library
After Oracle user a deletes a table under user B's name, can user B recover the deleted table through the recycle bin?
剑指 Offer 45. 把数组排成最小的数
Difference between NPX and NPM
Common methods of JS operation array
Codeforces Round #809 (Div. 2)
(2022年牛客多校一)I-Chiitoitsu(期望DP)
(16)[系统调用]追踪系统调用(3环)
计算BDP值和wnd值
PMP Exam is easy to confuse concept discrimination skills! Don't lose points after reading!
QT qtextedit setting qscrollbar style sheet does not take effect solution
R language uses LM function to build multiple linear regression model and write regression equation according to model coefficient